Farmacología

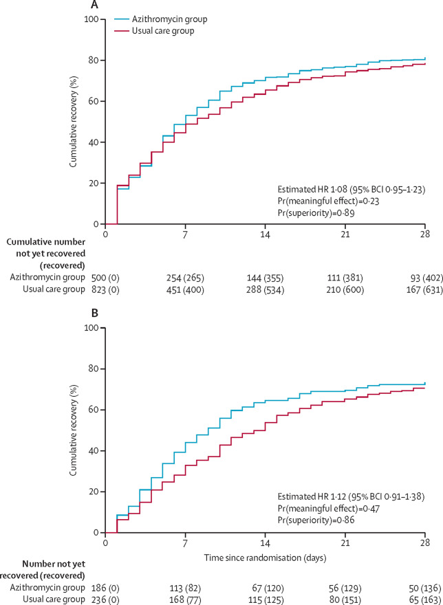
Azitromicina para tratamiento comunitario de COVID-19 en personas con riesgo de complicaciones

08 marzo 2021

Estos hallazgos no justifican el uso rutinario de azitromicina para reducir el tiempo de recuperación o el riesgo de hospitalización de personas con sospecha de COVID-19 en la comunidad. Estos hallazgos tienen importantes implicaciones en la administración de antibióticos durante esta pandemia, ya que el uso inadecuado de antibióticos conduce a una mayor resistencia a los antimicrobianos, y hay evidencia del aumento del uso de azitromicina durante la pandemia en el Reino Unido. Lancet, 4 de marzo de 2021

Azitromicina en pacientes ingresados en el hospital con COVID-19, resultados del ensayo RECOVERY

05 febrero 2021

En los pacientes ingresados en el hospital con COVID-19, la azitromicina no mejora la supervivencia ni otros resultados clínicos preespecificados. El uso de azitromicina en pacientes ingresados en el hospital con COVID-19 debe restringirse a pacientes en los que existe una clara indicación antimicrobiana. Lancet,  2 de febrero de 2021

Reacciones adversas a medicamentos en pacientes con COVID-19 en Brasil: análisis de las notificaciones espontáneas del sistema de farmacovigilancia

28 enero 2021

Se identificaron 631 RAMs en 402 pacientes. Los medicamentos más implicados fueron: hidroxicloroquina (59,5%), azitromicina (9,8%) y la cloroquina (5,2%). Las reacciones se manifestaron prioritariamente en el sistema cardíaco (38,8%), gastrointestinal (14,4%), tejido cutáneo (12,2%) y hepático (8,9%). La cloroquina (OR = 5,4; IC95%: 1,9-15,6) e hidroxicloroquina (OR = 2,1; IC95%: 1,2-3,6) fueron los únicos medicamentos asociados a RAM grave.  Cad Saude Publica. 22 de enero de 2021

Resistencia a macrólidos y no macrólidos con distribución masiva de azitromicina

16 noviembre 2020

Entre las aldeas asignadas para recibir distribuciones masivas de azitromicina o placebo dos veces al año durante 4 años, la resistencia a los antibióticos fue más común en las aldeas que recibieron azitromicina que en las que recibieron placebo. Este ensayo mostró que las distribuciones masivas de azitromicina pueden propagar la resistencia a los antibióticos. N Engl J Med, 12 de noviembre de 2020

Azitromicina además del estándar de atención versus estándar de atención sola en el tratamiento de pacientes ingresados ​​en el hospital con COVID-19 grave en Brasil (COALICIÓN II): un ensayo clínico aleatorizado

08 septiembre 2020

En pacientes con COVID-19 grave, la adición de azitromicina al tratamiento estándar de atención (que incluía hidroxicloroquina) no mejoró los resultados clínicos. Nuestros hallazgos no apoyan el uso rutinario de azitromicina en combinación con hidroxicloroquina en pacientes con COVID-19 grave. Lancet, 4 de septiembre de 2020

Categorias

Etiquetas