Farmacología

Vacunación de refuerzo de COVID-19 heteróloga versus homóloga en receptores anteriores de dos dosis de la vacuna CoronaVac COVID-19 en Brasil (RHH-001)

24 enero 2022

En este estudio aleatorizado de fase 4, de no inferioridad, simple ciego, las concentraciones de anticuerpos fueron bajas a los 6 meses después de la inmunización previa con dos dosis de CoronaVac. Sin embargo, las cuatro vacunas administradas como una tercera dosis indujeron un aumento significativo en los anticuerpos de unión y neutralización, lo que podría mejorar la protección contra la infección. El refuerzo heterólogo dio como resultado respuestas inmunitarias más robustas que el refuerzo homólogo y podría mejorar la protección. Lancet, 21 de enero de 2022

Parálisis de Bell luego de vacunación con CoronaVac y BNT162b2

17 agosto 2021

Los hallazgos observacionales sugieren un aumento del riesgo de parálisis de Bell después de la vacuna con virus inactivado CoronaVac y un aumento menor, que no alcanzó significación estadística, con la vacuna de ARNm de Pfizer. Sin embargo, los efectos beneficiosos y protectores de las vacunas superan con creces el riesgo de este evento adverso generalmente autolimitado. Se necesitan estudios adicionales para confirmar estos resultados. The Lancet Infectious Diseases,  16 de agosto de 2021.

Eficacia y seguridad de una vacuna SARS-CoV-2 de virión completo inactivado (CoronaVac)

13 julio 2021

CoronaVac tiene una alta eficacia contra COVID-19 sintomático confirmado por PCR con un buen perfil de seguridad y tolerabilidad. Lancet, 8 de julio de 2021 “

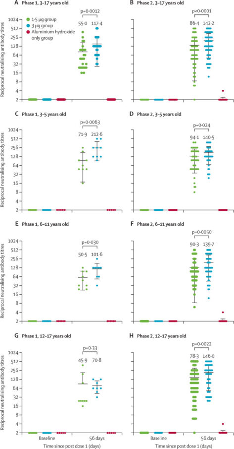
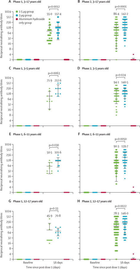
Seguridad, tolerabilidad e inmunogenicidad de la vacuna inactivada contra el SARS-CoV-2 (CoronaVac) en niños y adolescentes

30 junio 2021

CoronaVac es bien tolerada y segura e induce respuestas humorales en niños y adolescentes de 3 a 17 años. Los títulos de anticuerpos neutralizantes inducidos por la dosis de 3,0 µg fueron más altos que los de la dosis de 1,5 µg. Los resultados apoyan el uso de una dosis de 3,0 μg con un calendario de dos inmunizaciones para estudios adicionales en niños y adolescentes. Lancet Infect Dis. 28 de junio de 2021

Seguridad, tolerabilidad e inmunogenicidad de una vacuna inactivada (CoronaVac ) contra el SARS-CoV-2 en adultos sanos de 18 a 59 años: ensayo clínico de fase 1/2 aleatorizado, doble ciego, controlado con placebo

18 noviembre 2020

Entre el 16 y el 25 de abril de 2020, se inscribieron 144 participantes en el ensayo de fase 1, y entre el 3 y el 5 de mayo de 2020, se inscribieron 600 participantes en el ensayo de fase 2. Teniendo en cuenta la seguridad, la inmunogenicidad y la capacidad de producción, la dosis de 3 μg de CoronaVac es la dosis sugerida para la evaluación de la eficacia en futuros ensayos de fase 3. Lancet Infect Dis. 17 de noviembre de 2020

Categorias

Etiquetas