Farmacología

Eficacia de tres estrategias de dosificación de benznidazol para adultos que viven con la enfermedad de Chagas crónica (Ensayo MULTIBENZ)

20 febrero 2024

En este ensayo internacional de fase 2b, aleatorizado, doble ciego, los participantes tuvieron respuestas parasitológicas similares. Sin embargo, reducir el tratamiento habitual de 8 semanas a 2 semanas podría mantener la misma respuesta y al mismo tiempo facilitar la adherencia y aumentar la cobertura del tratamiento. Estos hallazgos deberían confirmarse en un ensayo clínico de fase 3. Lancet Infect Dis. 10 de enero de 2024

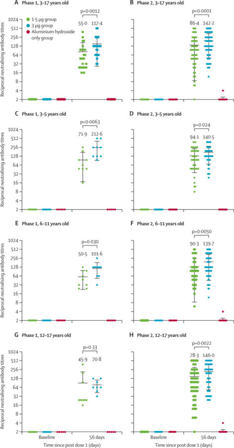
Seguridad, tolerabilidad e inmunogenicidad de la vacuna inactivada contra el SARS-CoV-2 (CoronaVac) en niños y adolescentes

30 junio 2021

CoronaVac es bien tolerada y segura e induce respuestas humorales en niños y adolescentes de 3 a 17 años. Los títulos de anticuerpos neutralizantes inducidos por la dosis de 3,0 µg fueron más altos que los de la dosis de 1,5 µg. Los resultados apoyan el uso de una dosis de 3,0 μg con un calendario de dos inmunizaciones para estudios adicionales en niños y adolescentes. Lancet Infect Dis. 28 de junio de 2021

FDA autorización de emergencia del anticuerpo monoclonal bamlanivimab, para el tratamiento del COVID-19

10 noviembre 2020

La decisión se  basó en un análisis intermedio de un ensayo clínico de fase II aleatorizado, doble ciego y controlado con placebo en 465 adultos no hospitalizados con síntomas de COVID-19 leves a moderados. FDA, 9 noviembre 2020

Anticuerpo neutralizante LY-CoV555 del SARS-CoV-2 en pacientes ambulatorios con Covid-19

10 noviembre 2020

En este análisis intermedio de un ensayo de fase 2, una de las tres dosis del anticuerpo neutralizante LY-CoV555 ( bamlanivimab) pareció acelerar la disminución natural de la carga viral con el tiempo, mientras que las otras dosis no lo habían hecho el día 11. N Engl J Med, 28 de octubre de 2020

Categorias

Etiquetas