Farmacología

Respuestas de anticuerpos tras una dosis única de vacunas de ARNm del SARS-CoV-2

29 marzo 2021

3 semanas después de una sola vacunación, las personas con infección reciente por SARS-CoV-2 o estado seropositivo tenían niveles más altos de anticuerpos contra cuatro antígenos del SARS-CoV-2 y niveles más altos de anticuerpos con características neutralizantes que aquellos sin antecedentes de infección. Sin embargo, la duración de las respuestas de anticuerpos y otras posibles medidas de inmunidad protectora necesitan más investigación. N Engl J Med, 23 de marzo de 2021

Reanudación de la vacunación en Europa con AstraZeneca. Preguntas frecuentes

26 marzo 2021

En función del próximo arribo de la vacuna a nuestro país, mediante en el mecanismo COVAX, compartimos el documento de la Agencia Española de Medicamentos y Productos Sanitarios (AEMPS), 23 de marzo de 2021

Nuevas variantes del SARS-CoV-2: implicaciones clínicas, de salud pública y de las vacunas

25 marzo 2021

El potencial de las variantes para escapar de la inmunidad inducida naturalmente y por vacunas hace que el desarrollo de vacunas de próxima generación que provoquen una amplia actividad neutralizante contra las variantes actuales y potenciales futuras sea una prioridad. La supresión de la replicación viral con medidas de salud pública y la distribución equitativa de vacunas es fundamental para reducir el riesgo de generación de nuevas variantes. N Engl J Med, 24 de marzo de 2021

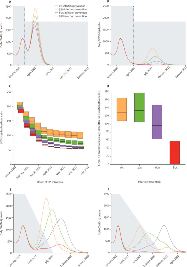
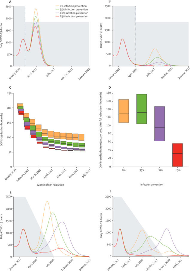
Vacunación e intervenciones no farmacéuticas para COVID-19: estudio de modelado

25 marzo 2021

Para todos los escenarios de vacunación investigados, estas predicciones destacan los riesgos asociados con la relajación temprana o rápida de las intervenciones no farmacéuticas. Aunque las vacunas novedosas contra el SARS-CoV-2 ofrecen una posible estrategia de salida para la pandemia, el éxito depende en gran medida de las propiedades precisas de la vacuna y de la aceptación de la población, las cuales deben ser monitoreadas cuidadosamente. Lancet Infect Dis. 18 de marzo de 2021

Un vacuna contra el VIH no demostró eficacia para prevenir la enfermedad

25 marzo 2021

A pesar de la evidencia previa de inmunogenicidad humoral y celular, el régimen ALVAC-gp120 no previno la infección por VIH-1 entre más de 5.000 participantes de Sudáfrica. New England Journal of Medicine, 25 de marzo de 2021.

Categorias

Etiquetas