Farmacología

Miocarditis después de la inmunización con vacunas de ARNm COVID-19 (Pfizer-BioNTech ó Moderna) en EE. UU.

30 junio 2021

Dos informes en la edición actual de JAMA Cardiology describen casos de miocarditis aguda que ocurrieron entre personas que recibieron las vacunas COVID-19 basadas en ARNm BNT162b2 (Pfizer-BioNTech) o ARNm-1273 (Moderna) basadas en ARN mensajero (ARNm). en los EE. UU. Durante las evaluaciones clínicas de estos pacientes, no se detectaron etiologías alternativas para la miocarditis.  AMA Cardiol. 29 de junio de 2021.

Vacunación con BNT162b2 (Pfizer-BioNTech) e incidencia de infecciones por SARS-CoV-2 sintomáticas y asintomáticas en trabajadores de la salud.

13 mayo 2021

Entre los trabajadores sanitarios en un solo centro en Tel Aviv, Israel, recibir la vacuna BNT162b2 respecto a ninguna se asoció con una incidencia significativamente menor de infección por SARS-CoV-2 sintomática (97% ) y asintomática (86%) 7 días después de la segunda dosis. Los hallazgos están limitados por el diseño observacional. JAMA 06 de mayo de 2021

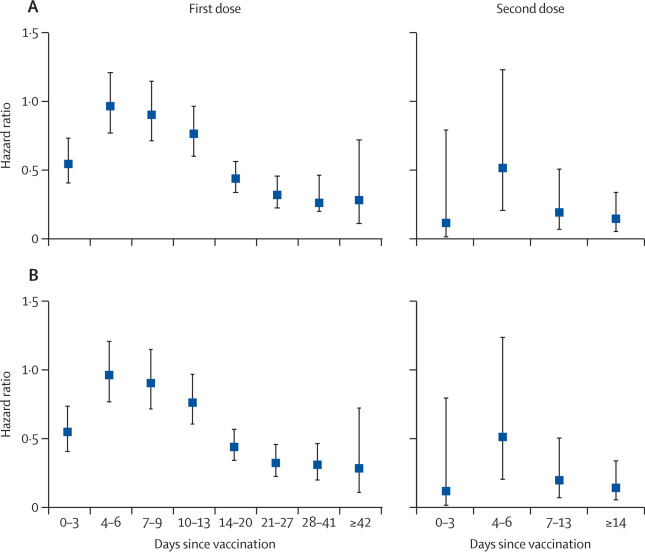
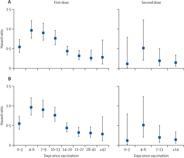
Cobertura de la vacuna COVID-19 en trabajadores de la salud en Inglaterra y efectividad de la vacuna de ARNm BNT162b2 contra la infección (SIREN): un estudio de cohorte prospectivo, multicéntrico

26 abril 2021

la vacuna BNT162b2 puede prevenir la infección sintomática y asintomática en adultos en edad laboral. Esta cohorte fue vacunada cuando la variante dominante en circulación era B1.1.7 y muestra efectividad contra esta variante. Lancet, 23 de abril de 2021

Reacciones alérgicas luego de vacunas de ARNm para COVID-19

22 abril 2021

Un cuidadoso seguimiento de casi 65000 personas que recibieron las vacunas de Pfizer/BioNTech o de Moderna mostró que el 2% informó algún síntoma alérgico; la tasa de reacciones graves compatibles con anafilaxia fue mucho más baja: 2,47 episodios cada 10000 vacunaciones; todos se recuperaron sin shock ni intubación endotraqueal. JAMA, 8 de marzo de 2021.

Respuesta a la vacuna COVID19 en mujeres embarazadas y lactantes: un estudio de cohorte

20 abril 2021

Las vacunas de ARNm de COVID-19 generaron una sólida inmunidad humoral en mujeres embarazadas y lactantes, con inmunogenicidad y reactogenicidad similar a la observada en mujeres no embarazadas. Las respuestas inmunitarias inducidas por la vacuna fueron significativamente mayores que la respuesta a la infección natural. La transferencia inmune a los recién nacidos se produjo a través de la placenta y la leche materna. Am J Obstet Gynecol. 24 de marzo de 2021

Categorias

Etiquetas