Farmacología

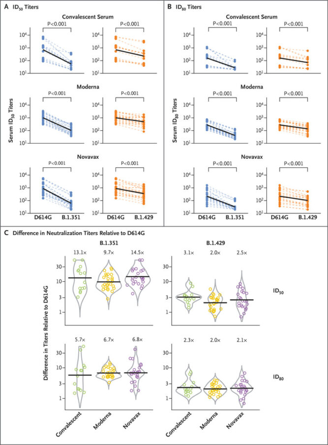
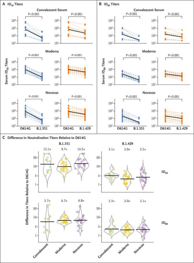
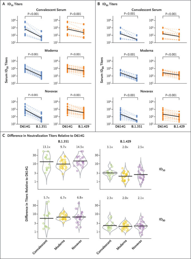
Neutralización de las variantes California (B.1.429) y Sudáfricana (B.1.351) del SARS-CoV-2

12 abril 2021

El valor modestamente más bajo en los títulos de neutralización contra la variante B.1.429 (californiana) visto en este estudio es similar al que vimos anteriormente cuando se probó la neutralización de la variante B.1.1.7 (británica) . Estos resultados, y la alta eficacia mostrada por estas vacunas, sugieren que es probable que los anticuerpos neutralizantes provocados por la vacuna sigan siendo eficaces contra la variante B.1.429. La magnitud de la resistencia observada con la variante B.1.351 (sudafricana) es de mayor preocupación con respecto a las vacunas actuales. N Engl J Med, 7 de abril de 2021

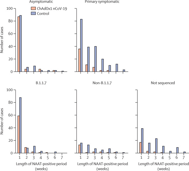
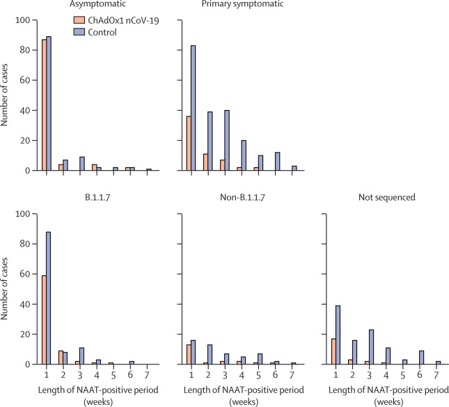
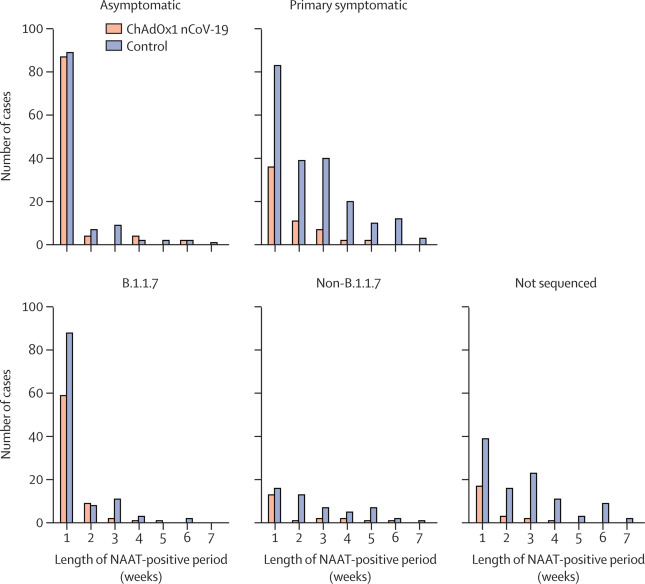
Eficacia de la vacuna AstraZeneca  contra la variante británica: análisis exploratorio de un ensayo controlado aleatorio

31 marzo 2021

la vacuna AstraZeneca (ChAdOx1 nCoV-19) mostró una actividad de neutralización reducida contra la variante B.1.1.7 en comparación con una variante no B.1.1.7 in vitro, pero la vacuna mostró eficacia contra la variante B.1.1.7 del SARS-CoV-2. Lancet, 30 de marzo de 2021

Variantes del COVID-19 en Argentina

30 marzo 2021

Se detectan casos de las variantes de Reino Unido, Manaos, Río de Janeiro y California sin nexo epidemiológico ni contacto estrecho con viajeros. En el caso de la variante de Reino Unido se observa un aumento en la frecuencia de detección semana a semana desde el inicio de su detección. Hasta el momento, no se detectó la de Sudáfrica. Ministerio de Salud de la Nación, 29 de marzo de 2021.

Nuevas variantes del SARS-CoV-2: implicaciones clínicas, de salud pública y de las vacunas

25 marzo 2021

El potencial de las variantes para escapar de la inmunidad inducida naturalmente y por vacunas hace que el desarrollo de vacunas de próxima generación que provoquen una amplia actividad neutralizante contra las variantes actuales y potenciales futuras sea una prioridad. La supresión de la replicación viral con medidas de salud pública y la distribución equitativa de vacunas es fundamental para reducir el riesgo de generación de nuevas variantes. N Engl J Med, 24 de marzo de 2021

Mortalidad de pacientes afectados por la “variante británica” (B.1.1.7) del SARS-CoV-2

10 marzo 2021

En el seguimiento de pacientes del Reino Unido se constató un aumento relativo del 64% (32% a 104%) en la mortalidad de los infectados con la nueva variante del virus pandémico. British Medical Journal, 10 de marzo de 2021.

Categorias

Etiquetas