Farmacología

Eficacia de las “polipíldoras” en prevención primaria

04 enero 2022

Una revisión sistemática con datos individuales de tres ensayos clínicos muestra que la combinación a dosis fija de antihipertensivos y estatina, con o sin aspirina, reduce un 38% los eventos cardiovasculares en prevención primaria, independientemente de los factores de riesgo cardiometabólico presentes. The Lancet, septiembre de 2021.

Disminución farmacológica de la presión arterial para la prevención primaria y secundaria de enfermedades cardiovasculares en diferentes niveles de presión arterial

30 abril 2021

En este análisis a gran escala de ensayos aleatorizados, una reducción de 5 mm Hg de la presión arterial sistólica redujo el riesgo de eventos cardiovasculares importantes en aproximadamente un 10%, independientemente de los diagnósticos previos de enfermedad cardiovascular, e incluso a valores de presión arterial normales o normales altos.Estos hallazgos sugieren que un grado fijo de disminución farmacológica de la presión arterial es igualmente eficaz para la prevención primaria y secundaria de enfermedades cardiovasculares importantes, incluso a niveles de presión arterial que actualmente no se consideran para el tratamiento. Los médicos que comuniquen a sus pacientes la indicación del tratamiento para bajar la presión arterial deben enfatizar su importancia en la reducción del riesgo cardiovascular en lugar de centrarse en la reducción de la presión arterial en sí. Lancet,  1 de mayo de 2021

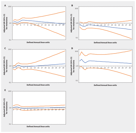
Asociación entre medicamentos antihipertensivos y riesgo de cáncer de piel en personas mayores de 65 años: un estudio poblacional

13 abril 2021

Una mayor exposición acumulada a las tiazidas se asoció con mayores tasas de incidencia de cáncer de piel en personas de 66 años o más. Puede justificarse la consideración de otros tratamientos antihipertensivos en pacientes con alto riesgo de cáncer de piel. CMAJ 12 de abril de 2021

Tratamiento antihipertensivo y riesgo de cáncer: metanálisis de datos de participantes individuales

31 marzo 2021

No encontramos evidencia consistente de que el uso de medicación antihipertensiva tuviera algún efecto sobre el riesgo de cáncer. Aunque estos hallazgos son tranquilizadores, la evidencia para algunas comparaciones fue insuficiente para descartar por completo el exceso de riesgo, en particular para los bloqueadores de los canales de calcio.. Lancet Oncol, 1 de abril de 2021

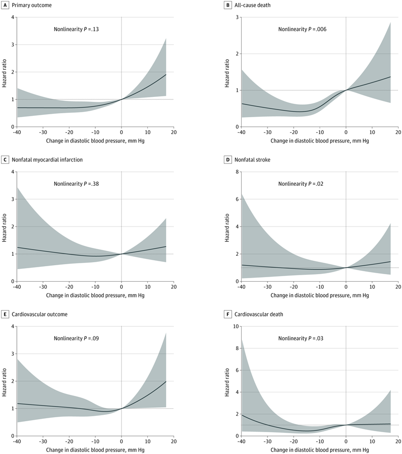
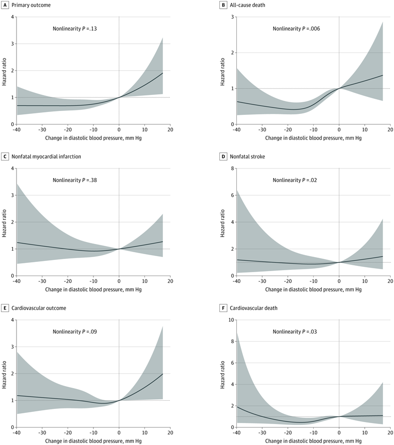
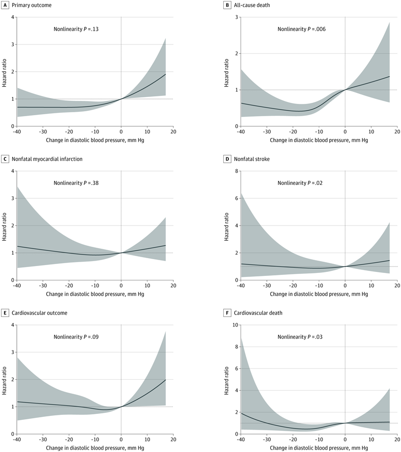
Presión arterial diastólica tratada: ¿Qué tan baja es demasiado baja?

18 febrero 2021

Este estudio de cohorte encontró que la reducción de la presión arterial diastólica a menos de 60 mm Hg se asoció con un mayor riesgo de eventos cardiovasculares en pacientes con alto riesgo cardiovascular y una presión arterial sistólica tratada inferior a 130 mm Hg. El hallazgo de que un valor de presión arterial diastólica entre 70 y 80 mm Hg era un objetivo óptimo para esta población de pacientes merece un estudio adicional.  JAMA Netw Open, 17 de febrero de 2021

Categorias

Etiquetas