Farmacología

Actividad física no ocupacional y riesgo de enfermedad cardiovascular, cáncer y resultados de mortalidad

01 marzo 2023

Los resultados de este metanálisis de dosis-respuesta de grandes estudios prospectivos halló que las asociaciones dosis-respuesta no lineales inversas sugieren una protección sustancial frente a una variedad de resultados de enfermedades crónicas a partir de pequeños aumentos en la actividad física no ocupacional en adultos inactivos. Br J Sports Med. 28 de febrero de 2023

Incidencia de cáncer y tasas de mortalidad en localidades rurales argentinas rodeadas de tierras agrícolas tratadas con plaguicidas

15 febrero 2023

Estos hallazgos sugieren que vivir en pequeños pueblos rurales afectados por aplicaciones de pesticidas agrícolas (PA)  cercanas tiene un impacto negativo en la salud, concretamente en los resultados del cáncer. Estos resultados contribuyen a la necesidad de políticas de reducción de pesticidas, especialmente en el entorno de pequeñas poblaciones urbanas. Clinical Epidemiology and Global Health, 25 de enero de 2023

Actividad física vigorosa, enfermedad cardíaca incidente y cáncer: ¿qué tan poco es suficiente?

31 octubre 2022

La actividad física vigorosa  de 15 a 20 min/semana se asoció con un riesgo de mortalidad 16 a 40 % más bajo, con disminuciones adicionales hasta los 50 a 57 min/semana. Estos hallazgos sugieren que se pueden lograr riesgos de salud reducidos a través de cantidades relativamente modestas de actividad física vigorosa acumuladas en episodios cortos durante la semana. European Heart Journal 27 octubre 2022

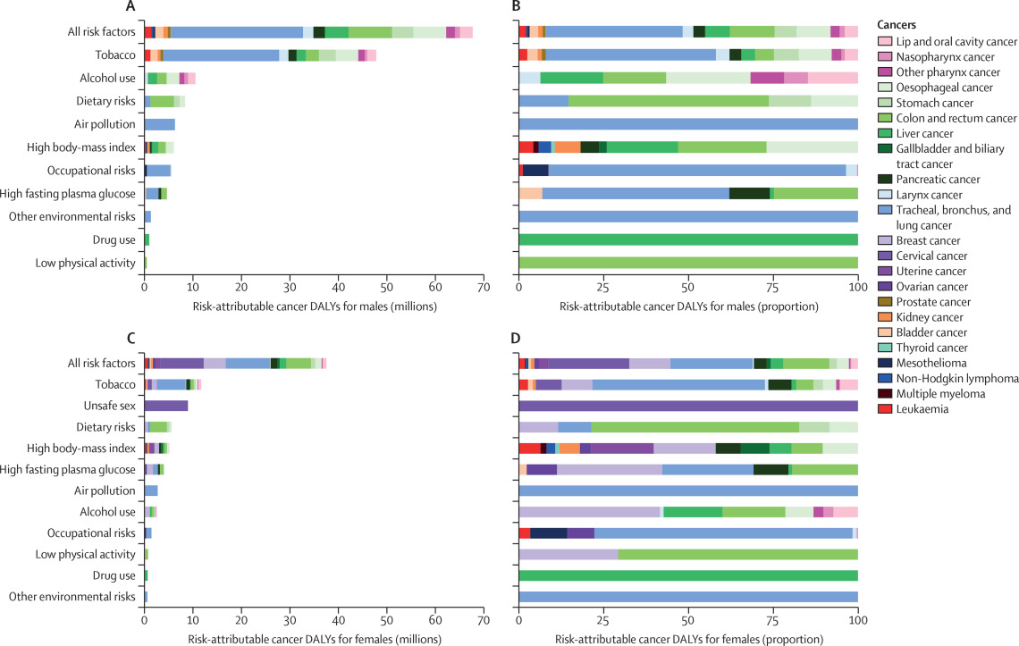
La carga mundial de cáncer atribuible a factores de riesgo, 2010-19: Estudio de la carga mundial de morbilidad 2019

19 agosto 2022

Este análisis sistemático para el Estudio de la carga mundial de morbilidad 2019, encontró que los principales factores de riesgo que contribuyeron a la carga global de cáncer en 2019 fueron conductuales, mientras que los factores de riesgo metabólicos experimentaron los mayores aumentos entre 2010 y 2019. Reducir la exposición a estos factores de riesgo modificables disminuiría la mortalidad por cáncer y las tasas de años de vida ajustados por discapacidad en todo el mundo, y las políticas deben adaptarse adecuadamente a carga local de factores de riesgo de cáncer. Lancet, 20 de agosto de 2022

Tendencias de la epidemiología del cáncer en América Latina y el Caribe

23 junio 2022

En este análisis del registro Globocan se encuentra que los patrones regionales de la inicidencia y mortalidad por cáncer reflejan importantes cambios sociodemográficos subyacentes que se han producido en las últimas décadas. Argentina y Uruguay se encuentran entre los países con tasas más elevadas de ambos indicadores. La mortalidad ajustada por edad por cáncer de mama y de próstata  viene descendiendo en Argentina en las últimas décadas. The Lancet Regional Health Americas, 17 de junio de 2022.

Categorias

Etiquetas