Farmacología

La carga mundial de cáncer atribuible a factores de riesgo, 2010-19: Estudio de la carga mundial de morbilidad 2019

19 agosto 2022

Este análisis sistemático para el Estudio de la carga mundial de morbilidad 2019, encontró que los principales factores de riesgo que contribuyeron a la carga global de cáncer en 2019 fueron conductuales, mientras que los factores de riesgo metabólicos experimentaron los mayores aumentos entre 2010 y 2019. Reducir la exposición a estos factores de riesgo modificables disminuiría la mortalidad por cáncer y las tasas de años de vida ajustados por discapacidad en todo el mundo, y las políticas deben adaptarse adecuadamente a carga local de factores de riesgo de cáncer. Lancet, 20 de agosto de 2022

Tendencias de la epidemiología del cáncer en América Latina y el Caribe

23 junio 2022

En este análisis del registro Globocan se encuentra que los patrones regionales de la inicidencia y mortalidad por cáncer reflejan importantes cambios sociodemográficos subyacentes que se han producido en las últimas décadas. Argentina y Uruguay se encuentran entre los países con tasas más elevadas de ambos indicadores. La mortalidad ajustada por edad por cáncer de mama y de próstata  viene descendiendo en Argentina en las últimas décadas. The Lancet Regional Health Americas, 17 de junio de 2022.

Endulzantes artificiales y riesgo de cáncer: resultados del estudio de cohorte basado en la población de NutriNet-Santé

29 marzo 2022

En este gran estudio de cohortes, los edulcorantes artificiales (especialmente el aspartamo y el acesulfamo-K), que se usan en muchas marcas de alimentos y bebidas en todo el mundo, se asociaron con un mayor riesgo de cáncer. Estos hallazgos proporcionan información novedosa en el contexto de la reevaluación en curso de los edulcorantes aditivos alimentarios por parte de la Autoridad Europea de Seguridad Alimentaria y de  otras agencias de salud a nivel mundial. PLoS Med , 24 de marzo de 2022

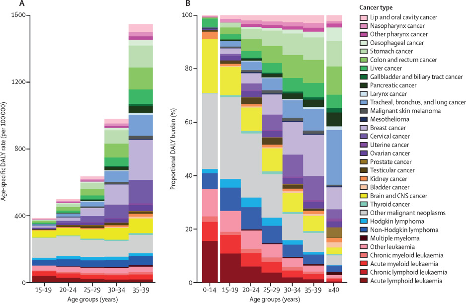
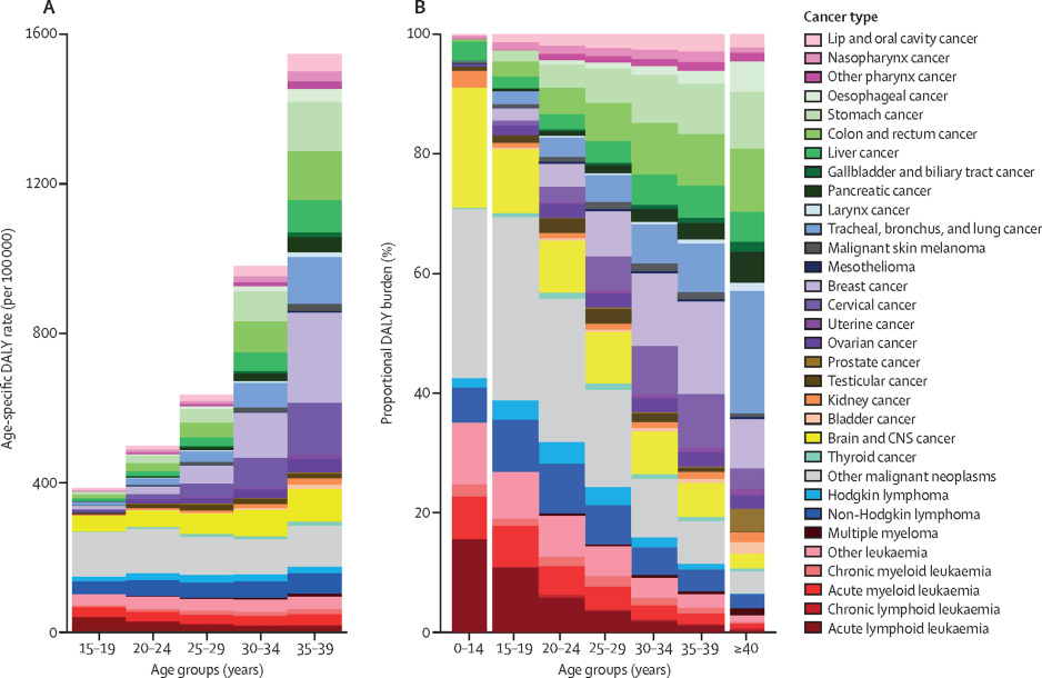
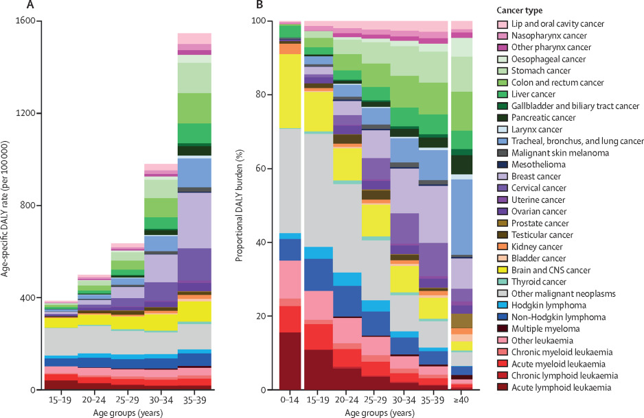
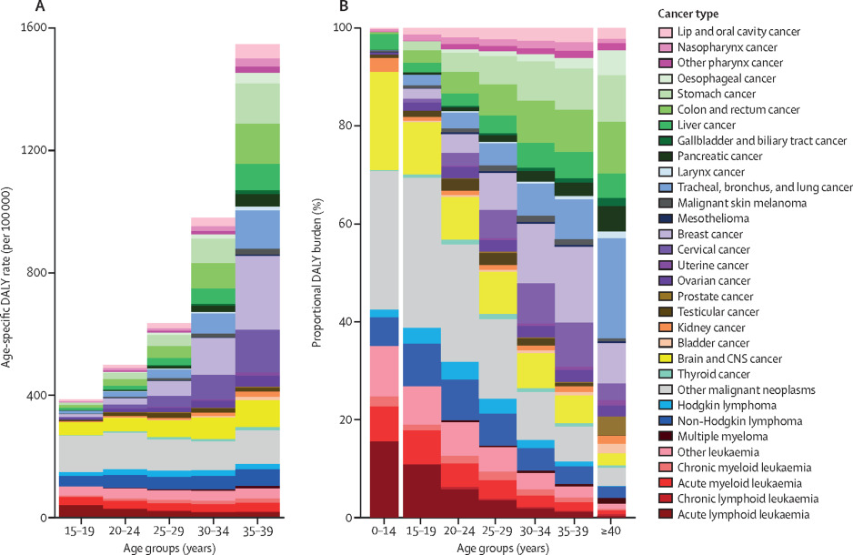
Análisis de la carga mundial del cáncer en adolescentes y adultos jóvenes en 2019

17 diciembre 2021

Los cánceres de adolescentes y adultos jóvenes contribuyeron sustancialmente a la carga global de morbilidad de los adolescentes y adultos jóvenes a nivel mundial en 2019. Estos resultados proporcionan nuevos conocimientos sobre la distribución y la magnitud de la carga de cáncer de adolescentes y adultos jóvenes en todo el mundo. Con notables diferencias observadas en los entornos de índices sociodemográficos  diferentes, estas estimaciones pueden informar los esfuerzos de control del cáncer a nivel mundial y nacional.  Lancet Oncol, 3 de diciembre de 2021.

Posible impacto negativo de las decisiones de Agencias reguladoras reputadas sobre el estado de aprobación de nuevos medicamentos contra el cáncer en los países de América Latina

14 julio 2021

Los países de América Latina siguen aprobando nuevos medicamentos contra el cáncer, a menudo basándose en ensayos clínicos mal realizados que miden criterios de valoración sustitutos. La EMA y otros reguladores de renombre deben ser conscientes de que sus decisiones regulatorias pueden influir directamente en las decisiones relativas a la autorización de comercialización, los presupuestos de salud y la atención del paciente en otros lugares. PLoS ONE 13 de julio de 2021

Categorias

Etiquetas