Farmacología

Seguridad y eficacia de la vacuna de ARNm BNT162b2 Covid-19 ( Pfizer/BioNTech)

10 diciembre 2020

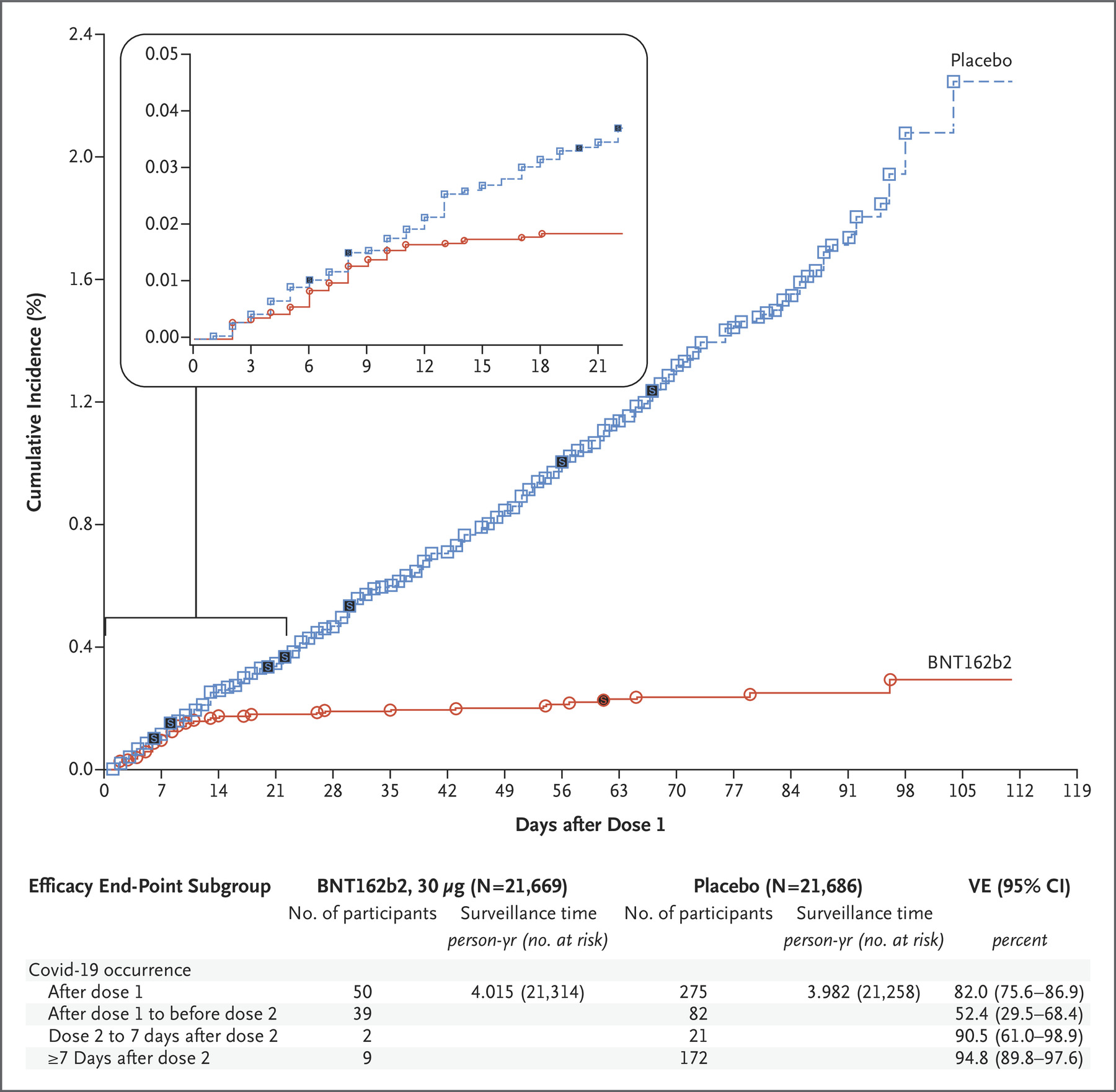
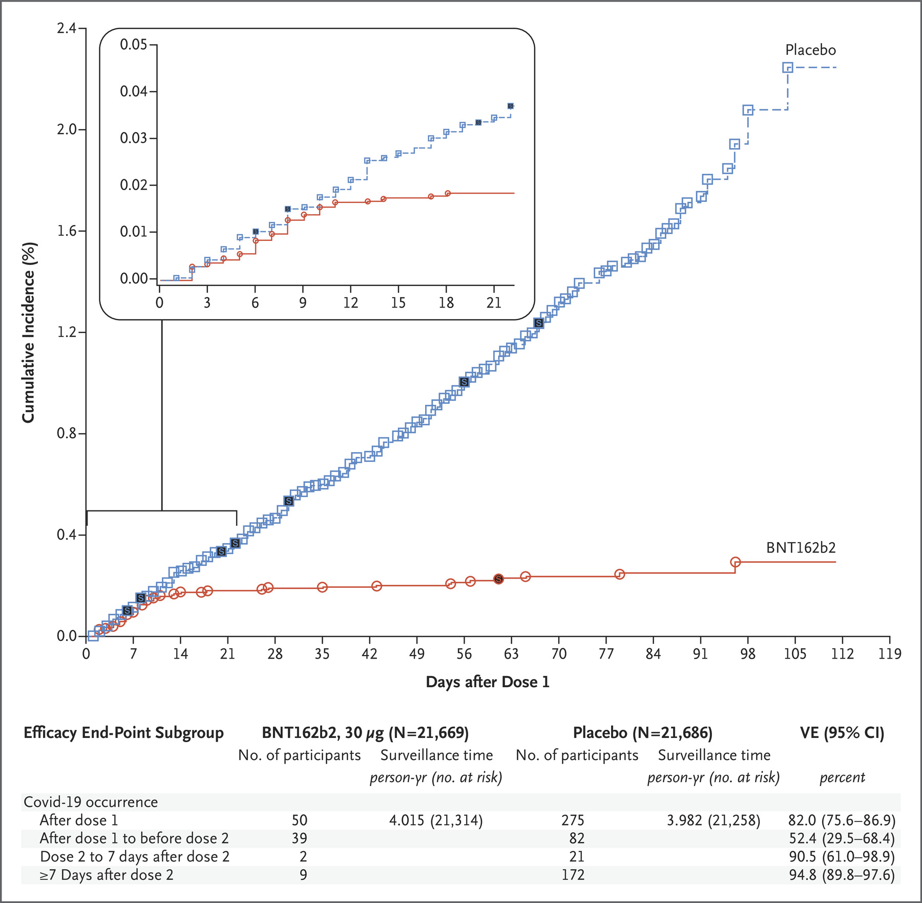
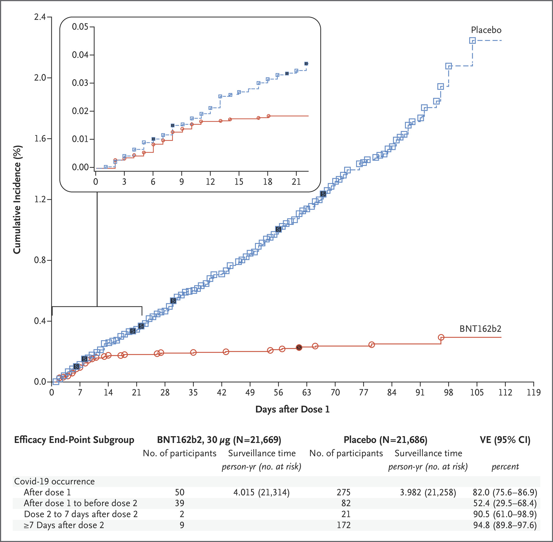
Un régimen de dos dosis de BNT162b2 confirió una protección del 95% contra Covid-19 en personas de 16 años o más. La seguridad durante una mediana de 2 meses fue similar a la de otras vacunas virales. N Eng J Med, 10 de diciembre de 2020

La agencia reguladora de medicamentos del Reino Unido aprueba la primera vacuna COVID-19 del Reino Unido

02 diciembre 2020

La primera vacuna COVID-19 para el Reino Unido, desarrollada por Pfizer / BioNTech, ha recibido hoy la aprobación para su uso tras una revisión exhaustiva realizada por la Agencia Reguladora de Medicamentos y Productos Sanitarios (MHRA). Nota de Prensa, MHRA, 2 diciembre 2020

Sobre las vacunas en fase III para COVID-19

24 noviembre 2020

Consideraciones sobre los anuncios de Pfizer-BioNTech, Sputnik V, Moderna y Oxford-Astra Zeneca, Boletín DIME, nº 26, 18 noviembre de 2020.

BioNTech y Pfizer publican datos intermedios de eficacia de su vacuna contra la COVID-19

10 noviembre 2020

La compañía ha comunicado datos preliminares extraídos del ensayo clínico en fase III que todavía sigue su curso. Los resultados resultan prometedores con un 90% de eficacia vacunal.El ensayo evalúa la eficacia de la vacuna administrando vacuna o placebo a los voluntarios y monitorizando e identificando cuántos positivos se producen en COVID-19.Es necesario esperar a que el ensayo finalice para poder obtener todos los datos y establecer conclusiones sólidas.La EMA empezó el proceso “rolling review” de esta vacuna el pasado 6 de octubre, pero la evaluación formal de los datos de eficacia todavía no ha comenzado.Hasta que no se haya efectuado una evaluación formal de todos los datos no se podrán extraer conclusiones, pero los resultados son esperanzadores.  AEMPS, 10 de noviembre de 2020

Estudio de fase 1/2 de la vacuna de ARN COVID-19 BNT162b1 en adultos

12 agosto 2020

Las concentraciones de IgG de unión a RBD y los títulos de neutralización del SARS-CoV-2 en suero aumentaron con el nivel de dosis y después de una segunda dosis.Los títulos neutralizantes medios geométricos alcanzaron de 1,9 a 4,6 veces la de un panel de sueros humanos convalecientes de COVID-19 al menos 14 días después de una PCR positiva para el SARS-CoV-2. Estos resultados apoyan la evaluación adicional de este candidato a vacuna de ARNm Nature, 12 de agosto de 2020

Categorias

Etiquetas