Farmacología

España, 1º Informe de Farmacovigilancia sobre vacunas COVID-19 (25-01-2021)

26 enero 2021

A la fecha de cierre de este informe (12 de enero), se habían vacunado en España 494.799 personas, habiéndose recibido 374 notificaciones de acontecimientos adversos. Los más frecuentes incluían acontecimientos relacionados con trastornos generales (fiebre, malestar), sistema nervioso central (cefalea, mareos) y aparato digestivo (náuseas, diarrea). No se ha identificado en España o en la Unión Europea ninguna posible reacción adversa hasta ahora desconocida que pueda ser motivo de preocupación.  AEMPS, 25 de enero de 2021

ANMAT: Registro de emergencia de la vacuna de la firma Pfizer S.R.L. "COMIRNATY"

23 diciembre 2020

La autorizó bajo la modalidad de registro de emergencia la vacuna contra el virus SARS-CoV-2 de la firma Pfizer S.R.L.ANMAT,  22 de diciembre de 2020

La EMA recomienda la autorización de la primera vacuna frente a la COVID-19

22 diciembre 2020

Comirnaty es el nombre de la vacuna desarrollada por BioNTech y Pfizer, que previne la enfermedad causada por SARS-CoV-2 en personas a partir de los 16 añosEl CHMP, formado por expertos de las autoridades competentes, entre ellas la AEMPS, ha completado su evaluación científica concluyendo por consenso que el balance beneficio-riesgo es positivo y se dispone de datos suficientemente sólidos sobre la calidad, seguridad y eficacia de esta vacunaAllana así el camino para que la Comisión Europea otorgue la autorización de comercialización condicional al medicamento y se convierta en la primera vacuna autorizada la Unión EuropeaEl ensayo clínico ha contado con la participación de unas 44.000 personas y ha demostrado una eficacia del 95%. AEMPS, 21 de diciembre de 2020

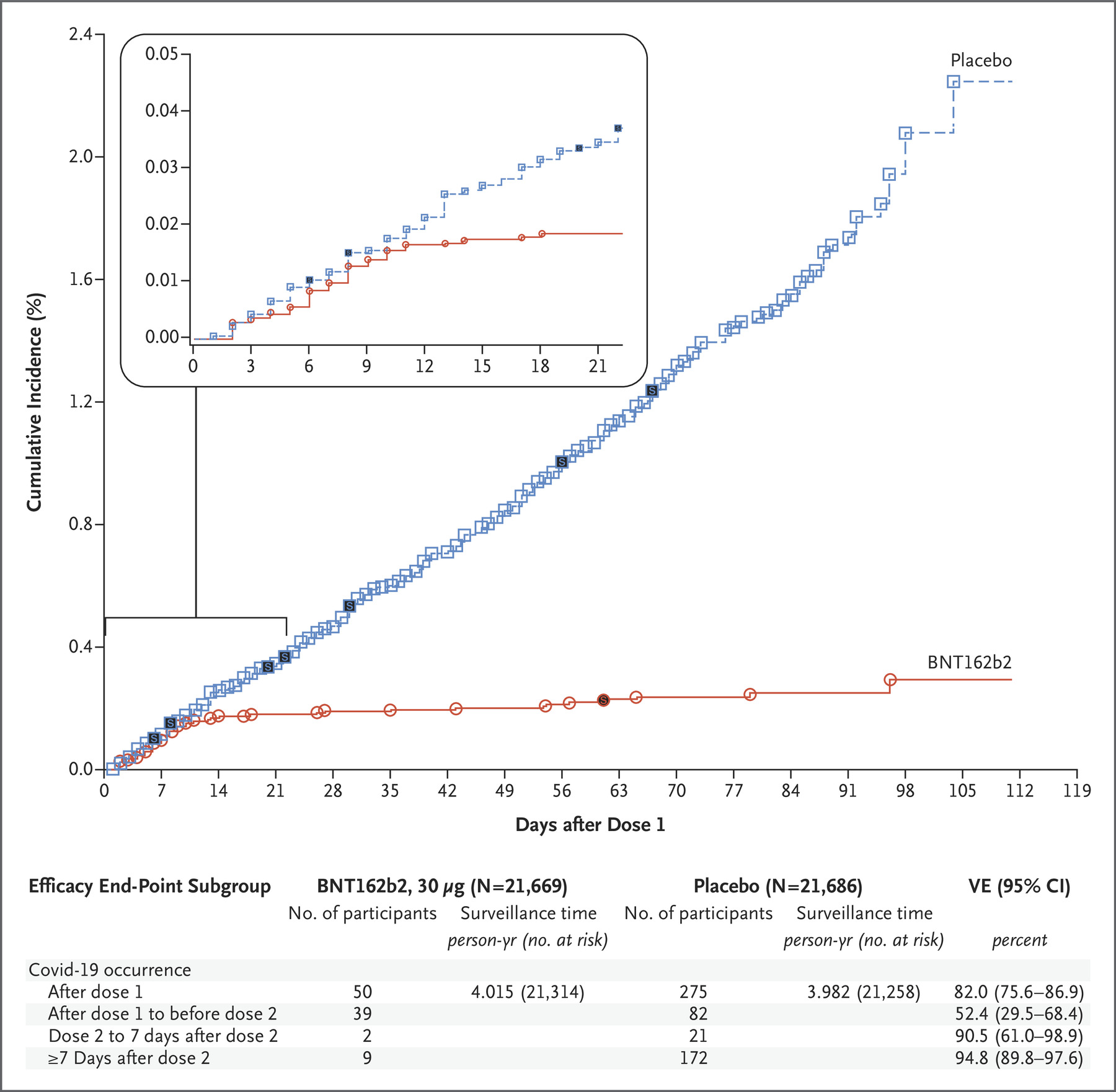
Seguridad y eficacia de la vacuna de ARNm BNT162b2 Covid-19 ( Pfizer/BioNTech)

10 diciembre 2020

Un régimen de dos dosis de BNT162b2 confirió una protección del 95% contra Covid-19 en personas de 16 años o más. La seguridad durante una mediana de 2 meses fue similar a la de otras vacunas virales. N Eng J Med, 10 de diciembre de 2020

La agencia reguladora de medicamentos del Reino Unido aprueba la primera vacuna COVID-19 del Reino Unido

02 diciembre 2020

La primera vacuna COVID-19 para el Reino Unido, desarrollada por Pfizer / BioNTech, ha recibido hoy la aprobación para su uso tras una revisión exhaustiva realizada por la Agencia Reguladora de Medicamentos y Productos Sanitarios (MHRA). Nota de Prensa, MHRA, 2 diciembre 2020

Categorias

Etiquetas