Farmacología

Anticuerpos neutralizantes contra el SARS-CoV-2 y protección clínica

16 noviembre 2021

La capacidad de neutralización in vitro sigue siendo un buen correlato del grado de protección contra las variantes del SARS-CoV-2; el modelado del descenso gradual de la inmunidad predice una pérdida de protección frente a las variantes después de la vacunación. Las dosis de refuerzo deberían permitir una mayor neutralización que la que se logra con la vacunación primaria, si bien ésta proporciona buena protección contra las infecciones graves por las variantes actuales, al menos a mediano plazo. The Lancet Microbe, 15 de noviembre de 2021.

Seguridad comparativa de las vacunas de ARNm COVID-19 con las vacunas contra la influenza: un análisis de farmacovigilancia utilizando la base de datos internacional de la OMS

11 noviembre 2021

Este estudio no ha identificado problemas de seguridad significativos con respecto a la vacunación con ARNm en entornos del mundo real. El perfil de seguridad general estableció un patrón de menor riesgo de eventos adversos después de la inmunización graves después de las vacunas de ARNm en comparación con las vacunas contra la influenza. J Med Virol. 28 de octubre de 2021

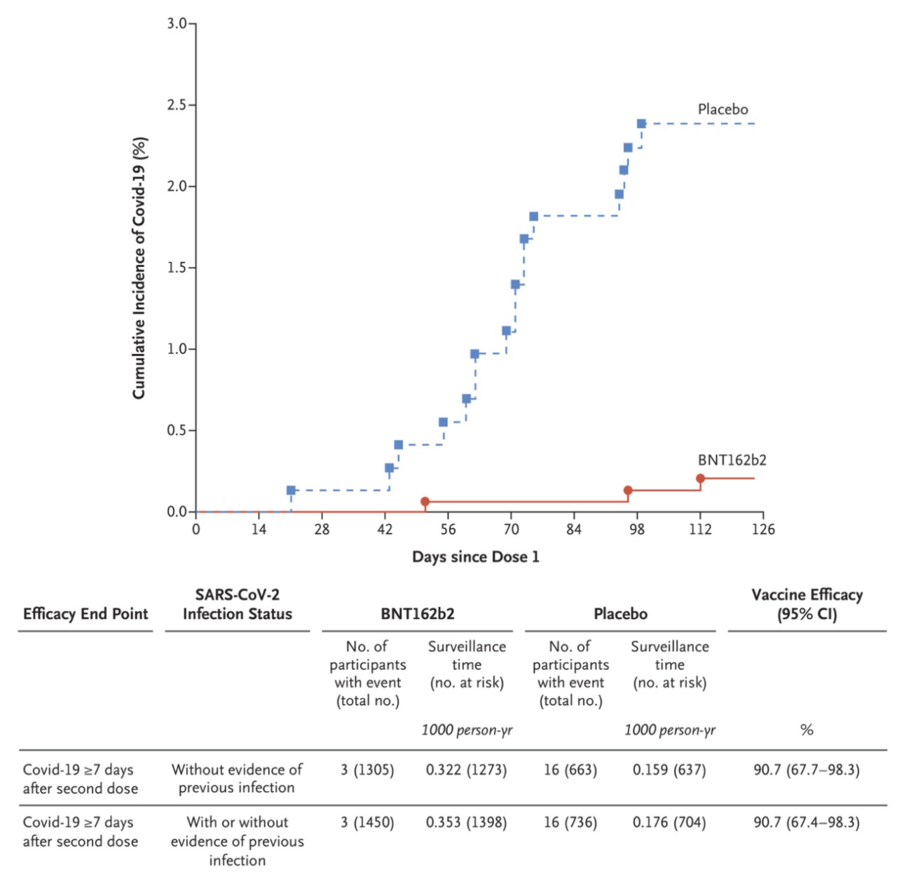
Evaluación de la vacuna Pfizer - BioNTech  (BNT162b2 Covid-19) en niños de 5 a 11 años

10 noviembre 2021

Este estudio encontró que un régimen de vacunación con Covid-19 que consiste en dos dosis de 10 μg de BNT162b2 administradas con 21 días de diferencia es seguro, inmunogénico y eficaz en niños de 5 a 11 años de edad. N Eng J Med, 9 de noviembre de 2021

Seguridad, inmunogenicidad y eficacia de las vacunas COVID-19 en niños y adolescentes: revisión sistemática.

05 noviembre 2021

Dos vacunas COVID-19 tienen efectos protectores potenciales en niños y adolescentes, pero se necesita conciencia para monitorear los posibles efectos adversos después de la inyección. Aún se necesitan con urgencia estudios clínicos de la vacuna COVID-19 en niños y adolescentes con mayor tiempo de seguimiento, mayor tamaño de muestra y una mayor variedad de vacunas. Vaccines (Basel), 29 de septiembre de 2021

Efectos del programa nacional de vacunación contra el VPH en Inglaterra, Reino Unido, sobre el cáncer de cuello uterino y la incidencia de neoplasia intraepitelial cervical de grado 3

04 noviembre 2021

Observamos una reducción sustancial del cáncer de cuello uterino y la incidencia de NIC3 en mujeres jóvenes después de la introducción del programa de inmunización contra el VPH en Inglaterra, especialmente en personas a las que se les ofreció la vacuna entre los 12 y 13 años. El programa de inmunización contra el VPH casi ha eliminado con éxito el cáncer de cuello uterino en mujeres nacidas desde el 1 de septiembre de 1995. Lancet, 3 de noviembre de 2021

Categorias

Etiquetas