Farmacología

Comparación de la respuesta de anticuerpos del SARS-CoV-2 tras la vacunación con Pfizer-BioNTech y Moderna

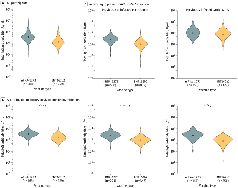
01 septiembre 2021

Este estudio encontró una inmunogenicidad humoral significativamente mayor de la vacuna SARS-CoV-2 mRNA-1273 (Moderna) en comparación con la vacuna BNT162b2 (Pfizer-BioNTech), tanto en participantes infectados como no infectados, y en todas las categorías de edad. El mayor contenido de ARNm en ARNm-1273 en comparación con BNT162b2 y el intervalo más largo entre el cebado y el refuerzo para ARNm-1273(3) (4 semanas frente a 3 semanas para BNT162b2) podrían explicar esta diferencia.  JAMA, 30 de Agosto de 2021

Eficacia de una vacuna contra el paludismo comparada con la quimioprofilaxis en niños de 5 a 17 meses de edad

01 septiembre 2021

La administración de la vacuna RTS,S/AS01E no fue inferior a la quimioprevención para prevenir el paludismo no complicado. Más aún, la combinación de estas intervenciones resultó en una incidencia sustancialmente menor de paludismo no complicado, paludismo grave y muerte por paludismo que cualquiera de las intervenciones por sí solas. New England Journal of Medicine, 25 de agosto de 2021.

Efectividad de la vacuna Sputnik para prevenir la internación por COVID-19

30 agosto 2021

En un estudio poblacional realizado en San Petersburgo se encontró que la vacunación con Sputnik V fue eficaz para reducir la necesidad de internaciones en un 81%. Esta protección probablemente esté mediada por la eficacia de la vacuna frente a las lesiones pulmonares asociadas con COVID-19. medRxiv, 26 de agosto de 2021.

Riesgo de trombocitopenia y tromboembolismo tas la vacunación con covid-19 y pruebas positivas de SARS-CoV-2

30 agosto 2021

Se observó mayor riesgo de eventos hematológicos y vasculares que llevaron al ingreso hospitalario o la muerte durante breves intervalos de tiempo tras las primeras dosis de las vacunas las Oxford-AstraZeneca y Pfizer-BioNTech Covid-19. Los riesgos de la mayoría de estos eventos fueron sustancialmente mayores y más prolongados después de la infección por SARS-CoV-2 que después de la vacunación en la misma población. BMJ, 27 de Agosto de 2021

Riesgos de los efectos adversos de la vacunación contra COVID comparados con los de la enfermedad

27 agosto 2021

Este estudio realizado en Israel encontró que la vacuna BNT162b2 no se asoció con un riesgo elevado de la mayoría de los eventos adversos examinados, aunque sí con un riesgo excesivo de miocarditis (de 1 a 5 eventos por cada 100.000 personas). El riesgo de este evento adverso potencialmente grave y de muchos otros eventos adversos graves aumentó sustancialmente después de la infección por SARS-CoV-2. New England Journal of Medicine, 25 de agosto de 2021.

Categorias

Etiquetas