Farmacología

COVID en Pediatría: la experiencia argentina

14 septiembre 2021

Se analizó la evolución de casi 2700 pacientes pediátricos atendidos por COVID en 19 centros de referencia de Argentina. Más de la mitad de los casos refirieron antecedente de contacto en el entorno familiar. Alrededor del 60% fue hospitalizado y el 7,4 % de los casos fueron graves o críticos. La gravedad se encuentra asociada a la existencia de ciertas comorbilidades. Archivos Argentinos de Pediatría, 13 de septiembre de 2021.

Tendencias en casos de COVID-19, visitas al departamento de emergencias e ingresos hospitalarios entre niños y adolescentes de 0 a 17 años - Estados Unidos, agosto de 2020 a agosto de 2021

07 septiembre 2021

Entre los niños y adolescentes de EE. UU. de 0 a 17 años, los casos de COVID-19 y las visitas al departamento de emergencias (DE) y los ingresos hospitalarios asociados aumentaron entre junio de 2021 y agosto de 2021. MMWR Morb Mortal Wkly Rep (CDC),  3 de septiembre de 2021

Vacuna COVID-19 Spikevax (Moderna) aprobada para niños de 12 a 17 años en la UE.

23 julio 2021

El comité de medicamentos humanos (CHMP) de la EMA ha recomendado otorgar una extensión de la indicación para la vacuna COVID-19 Spikevax (anteriormente COVID-19 Vaccine Moderna) para incluir el uso en niños de 12 a 17 años. La vacuna ya está autorizada para su uso en personas mayores de 18 años. EMA 23 de julio de 2021

Síntomas a largo plazo después de la infección por SARS-CoV-2 en niños y adolescentes (Ciao Corona)

20 julio 2021

Este estudio encuentra una baja prevalencia de síntomas compatibles con COVID prolongado en una cohorte de niños seleccionados al azar evaluados 6 meses después de la prueba serológica. Este estudio informa la distribución de síntomas compatibles con COVID prolongado a nivel poblacional; no recogió infecciones graves por SARS-CoV-2 porque son raras en los niños. Una fortaleza de este estudio es el grupo de control seronegativo basado en la población. JAMA, 15 de julio de 2021

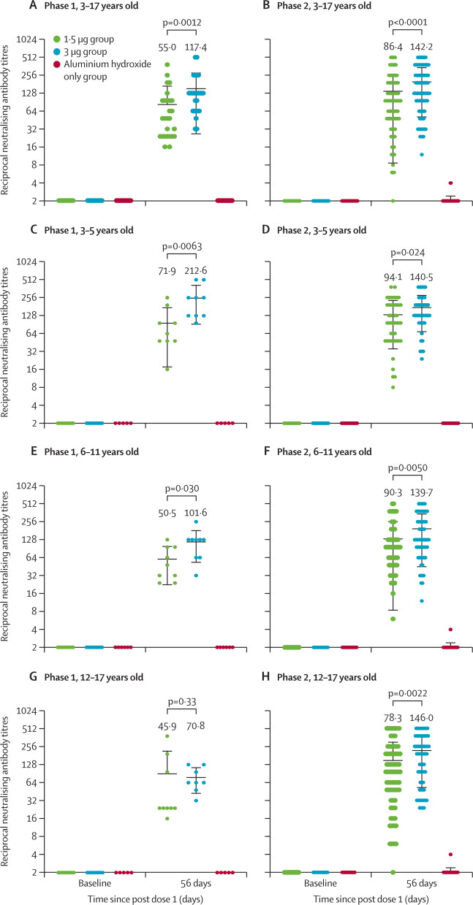
Seguridad, tolerabilidad e inmunogenicidad de la vacuna inactivada contra el SARS-CoV-2 (CoronaVac) en niños y adolescentes

30 junio 2021

CoronaVac es bien tolerada y segura e induce respuestas humorales en niños y adolescentes de 3 a 17 años. Los títulos de anticuerpos neutralizantes inducidos por la dosis de 3,0 µg fueron más altos que los de la dosis de 1,5 µg. Los resultados apoyan el uso de una dosis de 3,0 μg con un calendario de dos inmunizaciones para estudios adicionales en niños y adolescentes. Lancet Infect Dis. 28 de junio de 2021

Categorias

Etiquetas