Farmacología

Efectividad de las vacunas contra Covid-19 en los adolescentes

13 enero 2022

En el grupo de 12 a 18 años de edad, dos dosis de vacuna BNT162b2 brindan una protección del 94% contra la internación, del 98% contra el ingreso a UCI y del 98% contra la necesidad de  soporte vital. New England Journal of Medicine, 12 de enero de 2022.

Tendencias suicidas asociadas al uso de antidepresivos en niños y adolescentes

12 enero 2022

La evidencia actual indica que los antidepresivos aumentan el riesgo de tendencias suicidas en niños y adolescentes, por lo que debería limitarse su uso en esta población y emplearse únicamente en las indicaciones autorizadas. Este riesgo se debe especialmente al aumento de ideación suicida. La evidencia indirecta muestra que el riesgo de tendencias suicidas sería superior con venlafaxina. No existe evidencia suficiente de que ningún fármaco reduzca el riesgo de que se produzcan. Existe amplia evidencia de que los antidepresivos aumentan el riesgo de eventos adversos graves y abandonos por eventos adversos en cualquier indicación en comparación con placebo. En los estudios disponibles se analiza la seguridad cuando se inicia el tratamiento y son en general estudios de corta duración, pero no puede descartarse el riesgo de este tipo de eventos adversos a más largo plazo. BIT Navarra, diciembre 2021

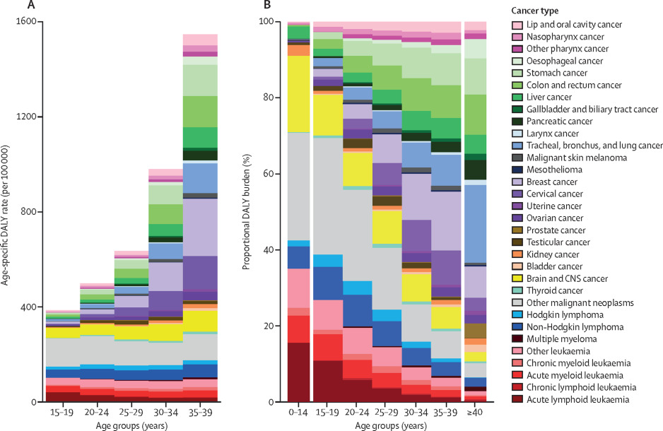
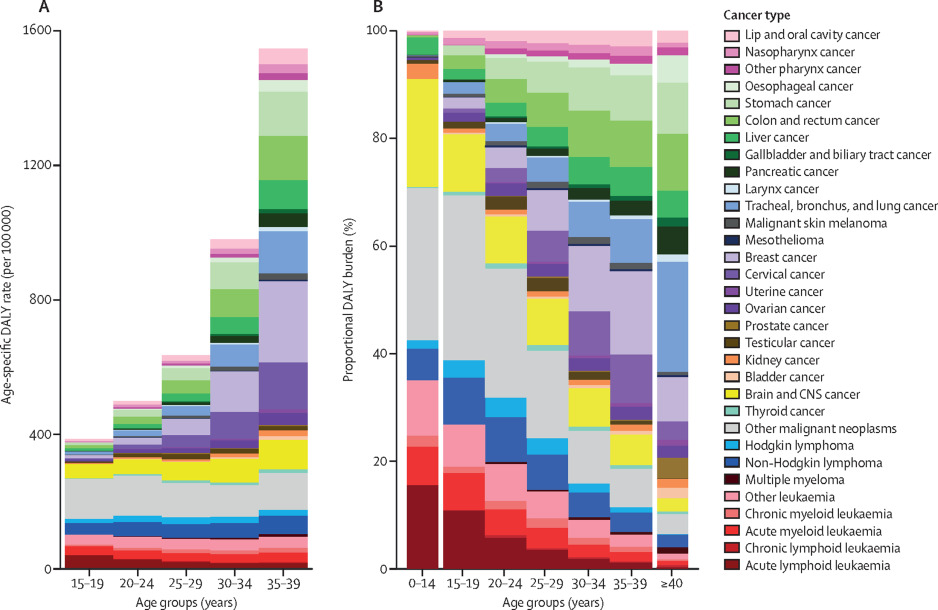
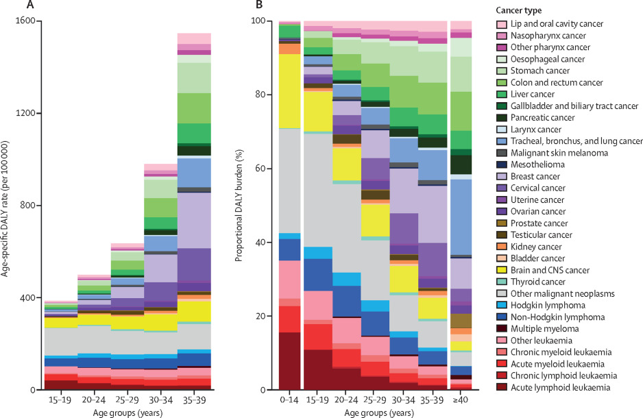
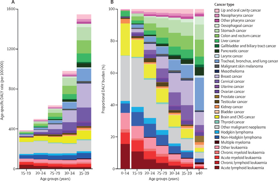
Análisis de la carga mundial del cáncer en adolescentes y adultos jóvenes en 2019

17 diciembre 2021

Los cánceres de adolescentes y adultos jóvenes contribuyeron sustancialmente a la carga global de morbilidad de los adolescentes y adultos jóvenes a nivel mundial en 2019. Estos resultados proporcionan nuevos conocimientos sobre la distribución y la magnitud de la carga de cáncer de adolescentes y adultos jóvenes en todo el mundo. Con notables diferencias observadas en los entornos de índices sociodemográficos  diferentes, estas estimaciones pueden informar los esfuerzos de control del cáncer a nivel mundial y nacional.  Lancet Oncol, 3 de diciembre de 2021.

Informe especial de vigilancia de seguridad en vacunas en niños, niñas y adolescentes

18 noviembre 2021

DiCEI (Dirección de Control de Enfermedades Inmunoprevenibles) y CoNaSeVa (Comisión Nacional de Seguridad en Vacunas), Ministerio de Salud | Campaña Nacional de Vacunación contra la COVID-19. Noviembre 2021

Tendencias suicidas asociadas al uso de antidepresivos en niños y adolescentes

12 noviembre 2021

La evidencia actual indica que los antidepresivos aumentan el riesgo de tendencias suicidas en niños y adolescentes, por lo que debería limitarse su uso en esta población y emplearse únicamente en las indicaciones autorizadas. Este riesgo se debe especialmente al aumento de ideación suicida. La evidencia indirecta muestra que el riesgo de tendencias suicidas sería superior con venlafaxina. No existe evidencia suficiente de que ningún fármaco reduzca el riesgo de que se produzcan. Existe amplia evidencia de que los antidepresivos aumentan el riesgo de eventos adversos graves y abandonos por eventos adversos en cualquier indicación en comparación con placebo. Boletín de Información Farmacoterapéutica de Navarra, 10 de noviembre de 2021

Categorias

Etiquetas