Farmacología

Síntomas a largo plazo después de la infección por SARS-CoV-2 en niños y adolescentes (Ciao Corona)

20 julio 2021

Este estudio encuentra una baja prevalencia de síntomas compatibles con COVID prolongado en una cohorte de niños seleccionados al azar evaluados 6 meses después de la prueba serológica. Este estudio informa la distribución de síntomas compatibles con COVID prolongado a nivel poblacional; no recogió infecciones graves por SARS-CoV-2 porque son raras en los niños. Una fortaleza de este estudio es el grupo de control seronegativo basado en la población. JAMA, 15 de julio de 2021

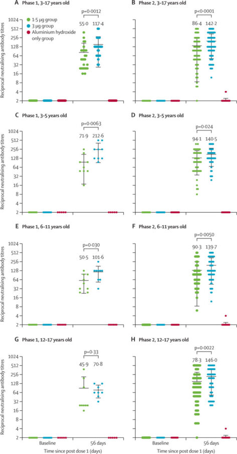
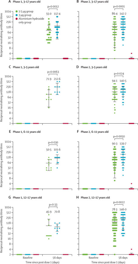
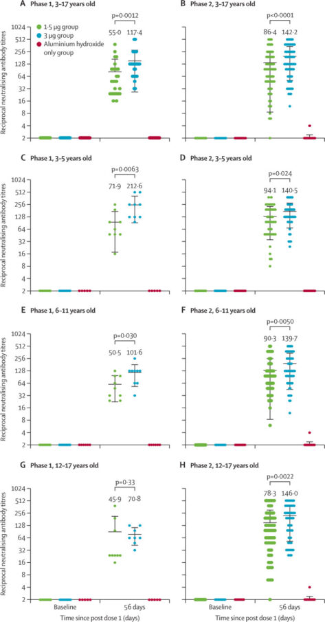
Seguridad, tolerabilidad e inmunogenicidad de la vacuna inactivada contra el SARS-CoV-2 (CoronaVac) en niños y adolescentes

30 junio 2021

CoronaVac es bien tolerada y segura e induce respuestas humorales en niños y adolescentes de 3 a 17 años. Los títulos de anticuerpos neutralizantes inducidos por la dosis de 3,0 µg fueron más altos que los de la dosis de 1,5 µg. Los resultados apoyan el uso de una dosis de 3,0 μg con un calendario de dos inmunizaciones para estudios adicionales en niños y adolescentes. Lancet Infect Dis. 28 de junio de 2021

Seguridad, inmunogenicidad y eficacia de la vacuna Covid-19 Pfizer- BioNTech (BNT162b2) en adolescentes

28 mayo 2021

La vacuna BNT162b2 en receptores de 12 a 15 años tuvo un perfil de seguridad favorable, produjo una mayor respuesta inmune que en adultos jóvenes y fue altamente efectiva contra Covid-19. N Engl J Med. 27 de mayo de 2021

Asociación de inhibidores selectivos de la recaptación de serotonina con el riesgo de diabetes tipo 2 en niños y adolescentes

04 septiembre 2020

En un estudio de cohorte pediátrico a nivel nacional de EE. UU. de más de 1 millón de pacientes con seguro público y privado, el inicio del tratamiento con ISRS se asoció con un pequeño aumento del riesgo de diabetes tipo 2 entre los pacientes con seguro público, lo que corresponde a un número necesario para el daño de 1515 tratados por al menos 2 años para que 1 paciente desarrolle diabetes tipo 2. Los niños y adolescentes que inician el tratamiento con ISRS pueden tener un pequeño aumento de riesgo de desarrollar diabetes tipo 2, pero la magnitud fue más modesta de lo que se informó anteriormente y el riesgo absoluto fue pequeño. JAMA Psychiatry.. 2 de septiembre de 2020

Características clínicas de niños y jóvenes ingresados en un hospital con covid-19 en Reino Unido

28 agosto 2020

Los niños y jóvenes tienen covid-19 agudo menos grave que los adultos. Se identifica un grupo de síntomas sistémicos mucocutáneo-entéricos en casos agudos que comparte características con el síndrome inflamatorio múltiple relacionado temporalmente con la enfermedad por Covid-19 (MIS-C). Los niños que cumplen con los criterios de MIS-C tienen diferentes características demográficas y clínicas dependiendo de si tienen una infección aguda por SARS-CoV-2 (reacción en cadena de la polimerasa positiva) o post aguda (anticuerpos positivos). BMJ, 27 de agosto de 2020

Categorias

Etiquetas