Farmacología

Tratamiento a largo plazo con clozapina y otros fármacos antipsicóticos y el riesgo de neoplasias malignas hematológicas en personas con esquizofrenia

06 abril 2022

Este estudio nacional de casos y controles y de cohortes en Finlandia, observó que a diferencia de otros antipsicóticos, el uso prolongado de clozapina se asocia con mayores probabilidades de neoplasias hematológicas. El uso prolongado de clozapina tiene un mayor efecto sobre la mortalidad por linfoma y leucemia que por agranulocitosis. Sin embargo, es importante reconocer que el riesgo absoluto es pequeño en comparación con la reducción del riesgo absoluto observada anteriormente en la mortalidad por todas las causas. . Lancet Psychiatry, 22 de marzo de 2022

Evaluación sesgada en ensayos de fármacos contra el cáncer: cómo puede inducir a error el uso de la supervivencia libre de progresión como punto final primario

14 marzo 2022

Para muchos medicamentos nuevos que han demostrado mejorar la supervivencia libre de progresión, el análisis posterior no ha demostrado mejoría en la supervivencia general y/o una medida validada de la calidad de vida., pero estos medicamentos rara vez se retiran del mercado. JAMA Oncol. 10 de marzo de 2022.

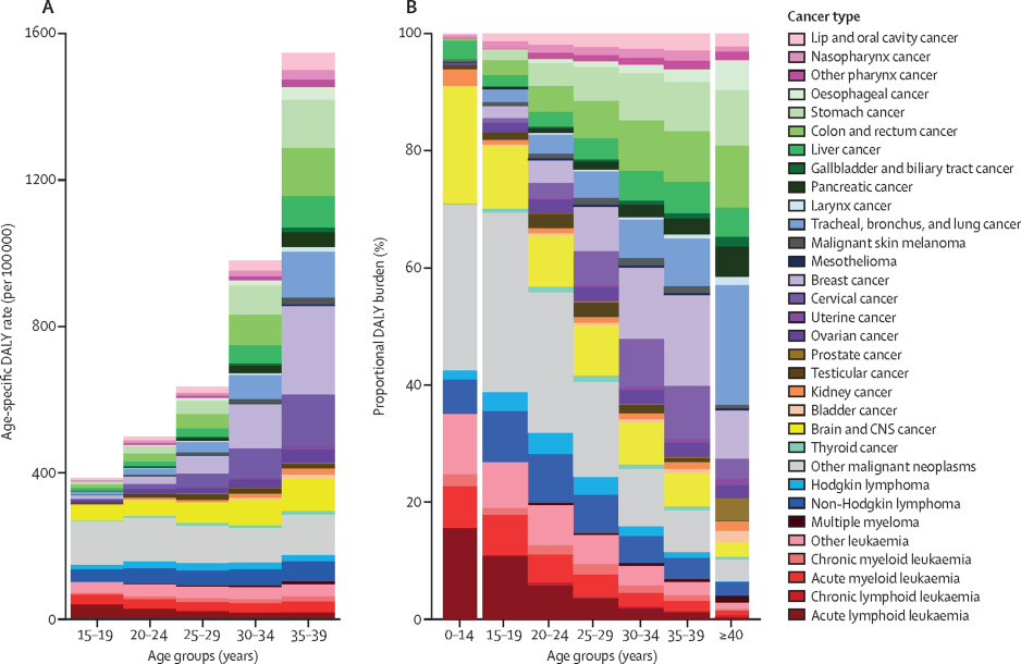
Análisis de la carga mundial del cáncer en adolescentes y adultos jóvenes en 2019

17 diciembre 2021

Los cánceres de adolescentes y adultos jóvenes contribuyeron sustancialmente a la carga global de morbilidad de los adolescentes y adultos jóvenes a nivel mundial en 2019. Estos resultados proporcionan nuevos conocimientos sobre la distribución y la magnitud de la carga de cáncer de adolescentes y adultos jóvenes en todo el mundo. Con notables diferencias observadas en los entornos de índices sociodemográficos  diferentes, estas estimaciones pueden informar los esfuerzos de control del cáncer a nivel mundial y nacional.  Lancet Oncol, 3 de diciembre de 2021.

Carga mundial de cánceres de las vías respiratorias y factores de riesgo asociados entre 1990-2019

25 agosto 2021

El número de casos incidentes y muertes por cáncer de tráquea, bronquios y pulmón y cáncer de laringe aumentó a nivel mundial durante la última década. Aún más preocupante, la incidencia estandarizada por edad y las tasas de mortalidad debidas a cáncer de tráquea, bronquios, pulmón y laringe aumentaron en algunas poblaciones, a saber, en los quintiles de SDI más bajos y entre las mujeres. En estos entornos deben tener prioridad medidas preventivas como intervenciones de control del tabaquismo, programas de gestión de la calidad del aire centrados en las principales fuentes de contaminación del aire y el acceso generalizado a energía limpia. Lancet Resp Med, 16 de agosto de 2021

Posible impacto negativo de las decisiones de Agencias reguladoras reputadas sobre el estado de aprobación de nuevos medicamentos contra el cáncer en los países de América Latina

14 julio 2021

Los países de América Latina siguen aprobando nuevos medicamentos contra el cáncer, a menudo basándose en ensayos clínicos mal realizados que miden criterios de valoración sustitutos. La EMA y otros reguladores de renombre deben ser conscientes de que sus decisiones regulatorias pueden influir directamente en las decisiones relativas a la autorización de comercialización, los presupuestos de salud y la atención del paciente en otros lugares. PLoS ONE 13 de julio de 2021

Categorias

Etiquetas