Farmacología

Supervivencia en el mundo real: análisis nacional de pacientes tratadas por cáncer de mama en estadio temprano

28 septiembre 2021

Más de la mitad de los pacientes estaban infrarrepresentados o no estaban representados en los ensayos clínicos debido a la edad, la comorbilidad o la raza. Algunos de estos grupos experimentaron una supervivencia más pobre en comparación con los que estaban bien representados en los ensayos. Los investigadores deben asegurarse de que los participantes del estudio reflejen la población de la enfermedad para respaldar la toma de decisiones basada en evidencia para todas las personas con cáncer. JCO Oncology Practice,24 de septiembre de 2021

La seguridad de las vitaminas y minerales de uso común.

04 agosto 2021

Los suplementos dietéticos tienen una variedad de riesgos potenciales y pocos beneficios. Los consumidores deben ser conscientes de que no existe ningún caso para las vitaminas u otros suplementos en personas normales y sanas, que no están embarazadas o amamantando y consumen una dieta saludable. Este artículo revisa los  potenciales riesgos de los suplementos más comunmente utilizados. Aust Prescr, 2 de agosto de 2021

Eficacia y efectividad de la vacuna COVID-19: el elefante (no) en la habitación

21 abril 2021

Las consideraciones sobre eficacia y efectividad se basan en estudios que miden la prevención de la infección por COVID-19 leve a moderada; no se diseñaron para concluir sobre la prevención de la hospitalización, enfermedades graves o la muerte, o sobre la prevención de la infección y el potencial de transmisión. La evaluación de la idoneidad de las vacunas debe considerar todos los indicadores e involucrar la seguridad, la implementación, disponibilidad y costos. Lancet, 20 de abril de 2021

¿Qué define una vacuna COVID-19 eficaz? Una revisión de los desafíos para evaluar la eficacia clínica de las vacunas contra el SARS-CoV-2

28 octubre 2020

el criterio de valoración de eficacia más importante, la protección contra enfermedades graves y la muerte, es difícil de evaluar en los ensayos clínicos de fase 3. En esta revisión, exploramos los desafíos en la evaluación de la eficacia de las vacunas candidatas contra el SARS-CoV-2, discutimos las advertencias necesarias para interpretar los criterios de valoración de eficacia informados y brindamos información para responder a la pregunta aparentemente simple: “¿Funciona esta vacuna COVID-19? " Lancet Infect Dis 27 de octubre de 2020

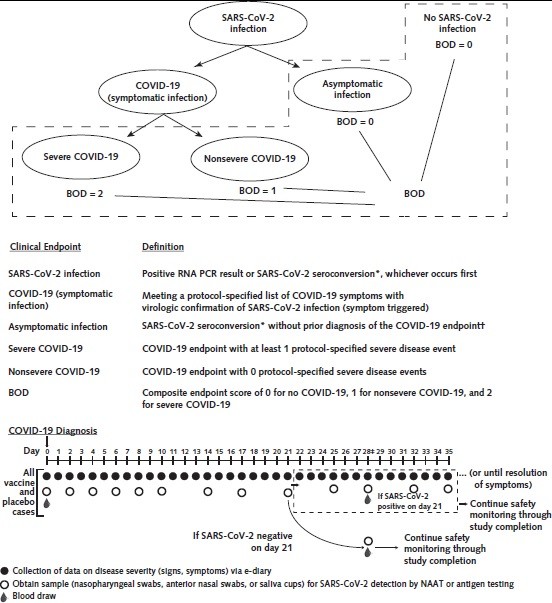
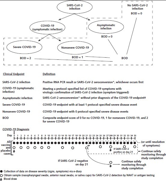
Criterios de desenlace clínicos para evaluar la eficacia en los ensayos de la vacuna COVID-19

26 octubre 2020

Para facilitar la evaluación armonizada y la comparación de la eficacia de estas vacunas, se propone un conjunto general de criterios de valoración clínicos, junto con consideraciones para orientar la selección de los criterios de valoración primarios sobre la base del razonamiento clínico y estadístico. S Ann Intern Med, 22 de octubre de 2020

Categorias

Etiquetas