Farmacología
Durabilidad de la respuesta tras la aplicación de la vacuna mRNA-1273 (Moderna) contra el SARS-CoV-2
                    09 diciembre 2020
                
            
            A la dosis de 100 µg, la vacuna mRNA-1273 indujo niveles elevados de anticuerpos fijadores y neutralizantes; estos títulos disminuyeron ligeramente con el tiempo, pero a los 90 días se mantenían elevados en todos los participantes. Se evaluaron las respuestas de capacidad fijadora a la proteína de la espícula, y se comprobó que la intensidad de la respuesta fue parecida en los tres grupos de edad. Al cabo de 90 días, también se detectaron anticuerpos neutralizantes en todos los participantes.N Engl J Med, 3 de diciembre de 2020
Las inaceptables presiones que complicarán el acceso equitativo y la confianza en las vacunas para COVID-19
                    09 diciembre 2020
                
            
            Con la divulgación de los anuncios en prensa sobre la potencial ultra eficacia de dos de las vacunas de BioNTech/Pfizer y Moderna, iniciaron las presiones sobre los países para su aprobación y adquisición acelerada. A su vez las compañías farmacéuticas, de estas y otras vacunas, exigieron a todos los países incluir en los contratos y acuerdos de compra, cláusulas que les eximan por completo de la responsabilidad por aquellos eventuales daños y efectos adversos a largo plazo derivados del uso de las vacunasLos acuerdos para garantizar el acceso a vacunas deberían darse en el marco de los principios básicos de la bioética y apostar por condiciones de absoluta transparencia.Las cláusulas son una opción, no una obligación. DIME, boletín #28 , 7 de diciembre de 2020
La agencia reguladora de medicamentos del Reino Unido aprueba la primera vacuna COVID-19 del Reino Unido
                    02 diciembre 2020
                
            
            La primera vacuna COVID-19 para el Reino Unido, desarrollada por Pfizer / BioNTech, ha recibido hoy la aprobación para su uso tras una revisión exhaustiva realizada por la Agencia Reguladora de Medicamentos y Productos Sanitarios (MHRA). Nota de Prensa, MHRA, 2 diciembre 2020
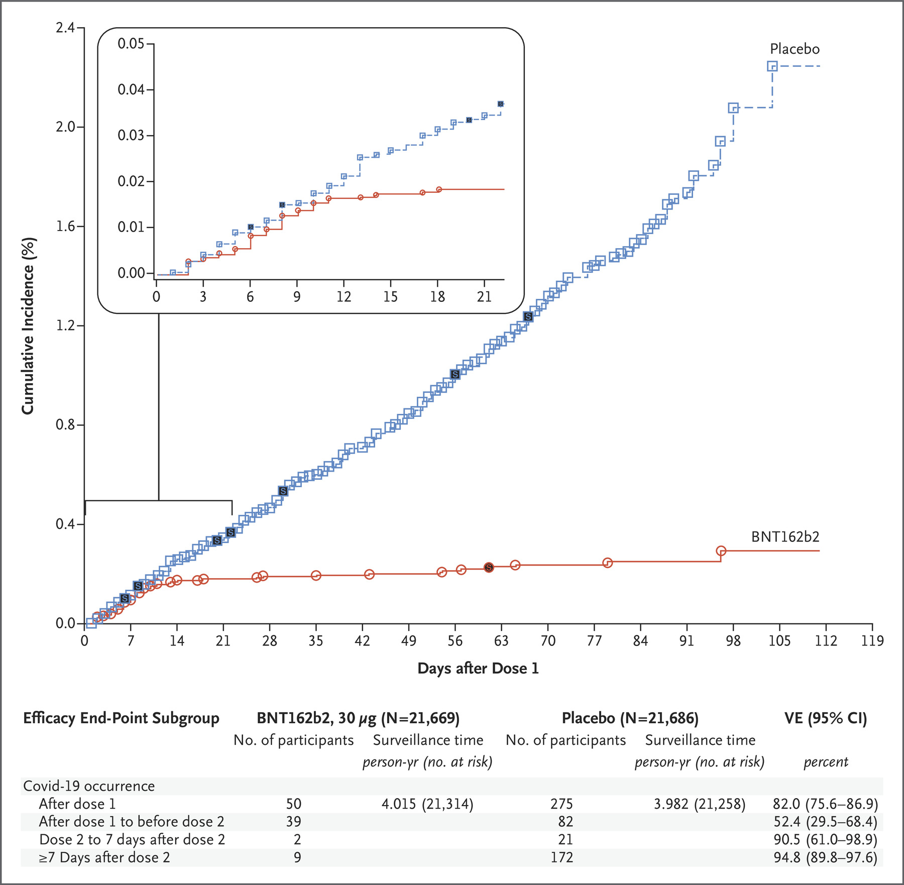
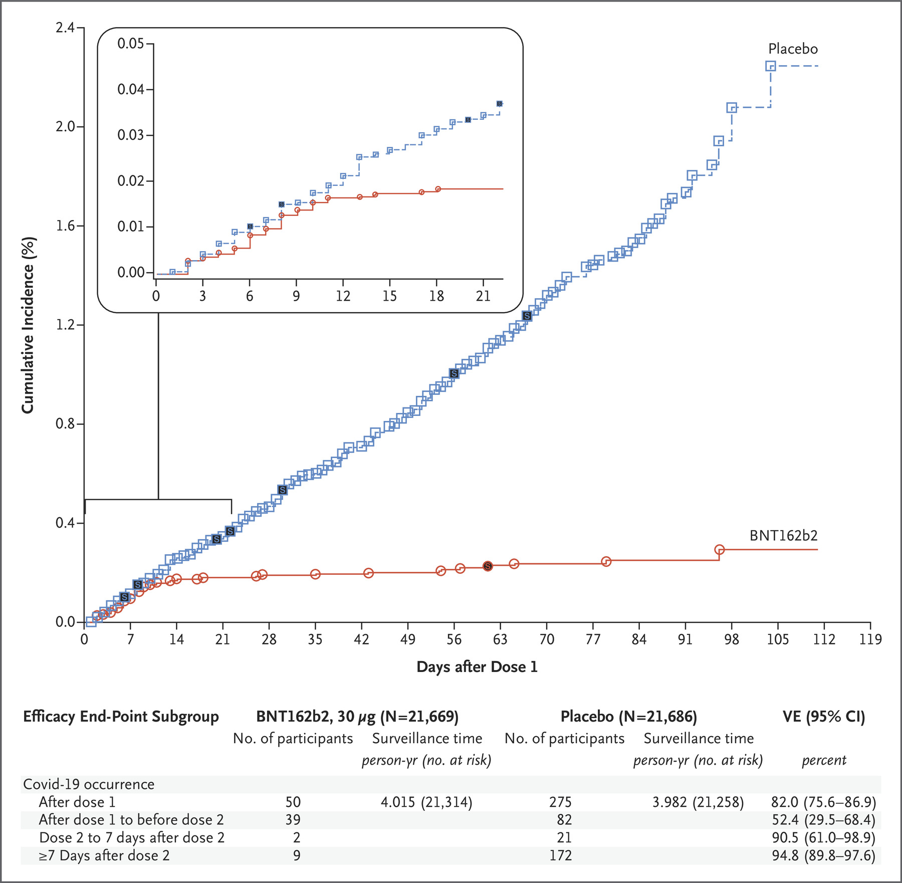
BioNTech y Pfizer publican datos intermedios de eficacia de su vacuna contra la COVID-19
                    10 noviembre 2020
                
            
            La compañía ha comunicado datos preliminares extraídos del ensayo clínico en fase III que todavía sigue su curso. Los resultados resultan prometedores con un 90% de eficacia vacunal.El ensayo evalúa la eficacia de la vacuna administrando vacuna o placebo a los voluntarios y monitorizando e identificando cuántos positivos se producen en COVID-19.Es necesario esperar a que el ensayo finalice para poder obtener todos los datos y establecer conclusiones sólidas.La EMA empezó el proceso “rolling review” de esta vacuna el pasado 6 de octubre, pero la evaluación formal de los datos de eficacia todavía no ha comenzado.Hasta que no se haya efectuado una evaluación formal de todos los datos no se podrán extraer conclusiones, pero los resultados son esperanzadores. AEMPS, 10 de noviembre de 2020
Desafíos para lograr inmunidad colectiva al SARS-CoV-2 mediante vacunación masiva
                    09 noviembre 2020
                
            
            