Farmacología

Lesión de hombro relacionada con la administración de vacunas: ¿Qué sabemos sobre su incidencia e impacto?

26 octubre 2022

los números de informes de casos de lesión en el hombro relacionada con la administración de la vacuna (SIRVA)  y la incidencia de los datos de COVID-19, en comparación con la evidencia anterior, plantean dudas sobre el conocimiento de los profesionales de la salud y la precisión de los informes de SIRVA. Las tasas de recuperación son poco conocidas. Se requiere una definición de consenso mundial de SIRVA y un informe más transparente y rutinario. La representación desproporcionada de mujeres es motivo de preocupación sin razones conocidas para esta disparidad. Se necesita más investigación sobre el conocimiento de SIRVA en los profesionales de la salud, las tasas de notificación, la incidencia, el manejo y los resultados a largo plazo para los afectados. Los farmacéuticos vacunadores deben ser conscientes de su papel en la prevención de SIRVA y ser activos en su detección. Explor Res Clin Soc Pharm. 26 de septiembre de 2022

Comprender la seguridad de las vacunas y las funciones de la FDA y los CDC

29 abril 2022

Una comprensión y aceptación generalizadas de las vacunas será un aspecto integral de las estrategias de salud pública para limitar las consecuencias de futuras pandemias. Esta revisión analiza cómo se evalúan la seguridad y la eficacia de las vacunas, las vías por las cuales las vacunas se autorizan o autorizan, y las consideraciones abordadas por los organismos asesores al establecer recomendaciones de vacunas. N Engl J Med, 28 de abril de 2022

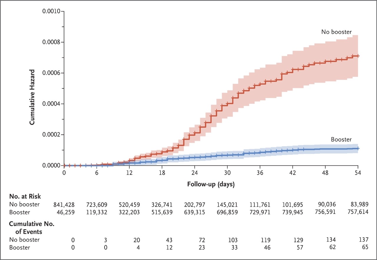
Refuerzo de la vacuna BNT162b2 (Pfizer-BioNTech ) y mortalidad debida a Covid-19

10 diciembre 2021

Los participantes que recibieron un refuerzo al menos 5 meses después de una segunda dosis de BNT162b2 (Pfizer-BioNTech) tuvieron un 90% menos de mortalidad debido a Covid-19 que los participantes que no recibieron un refuerzo.  N Engl J Med. 8 de diciembre de 2021

Seguridad e inmunogenicidad de siete vacunas COVID-19 como tercera dosis (refuerzo) tras dos dosis de Oxford-AstraZeneca o Pfizer-BioNTech (ensayo COV-BOOST)

03 diciembre 2021

Todas las vacunas del estudio potenciaron las respuestas de anticuerpos y neutralizantes después del ciclo inicial de ChAdOx1 nCoV-19 /ChAdOx1 nCoV-19, y todas excepto una después de Pfizer-BioNTech / Pfizer-BioNTech, sin problemas de seguridad. Las diferencias sustanciales en las respuestas humorales y celulares y la disponibilidad de la vacuna influirán en las decisiones políticas para la vacunación de refuerzo. Lancet, 2 de diciembre de 2021

Eficacia a nivel nacional de cinco vacunas contra el SARS-CoV-2 en Hungría: el estudio HUN-VE

29 noviembre 2021

Nuestro estudio observacional demostró la eficacia alta o muy alta de cinco vacunas diferentes [BNT162b2 (Pfizer-BioNTech), HB02 (Sinopharm), Gam-COVID-Vac (Sputnik-V), AZD1222 (AstraZeneca) o ARNm-1273 ( Moderna)] en la prevención de la infección por SARS-CoV-2 y la muerte relacionada con Covid-19. Clin Microbiol Infect. 24 de noviembre de 2021

Categorias

Etiquetas