Farmacología

Eficacia, seguridad e inmunogenicidad entre lotes de una vacuna inactivada contra el SARS-CoV-2 (BBV152- Bharat Biotech-): resultados provisionales de un ensayo de fase 3 aleatorizado, doble ciego y controlado

17 noviembre 2021

la vacuna BBV152 fue muy eficaz contra la enfermedad COVID-19 sintomática confirmada por laboratorio en adultos. La vacunación fue bien tolerada y no se plantearon problemas de seguridad en este análisis intermedio. Lancet, 11 de noviembre de 2021

Seguridad comparativa de las vacunas de ARNm COVID-19 con las vacunas contra la influenza: un análisis de farmacovigilancia utilizando la base de datos internacional de la OMS

11 noviembre 2021

Este estudio no ha identificado problemas de seguridad significativos con respecto a la vacunación con ARNm en entornos del mundo real. El perfil de seguridad general estableció un patrón de menor riesgo de eventos adversos después de la inmunización graves después de las vacunas de ARNm en comparación con las vacunas contra la influenza. J Med Virol. 28 de octubre de 2021

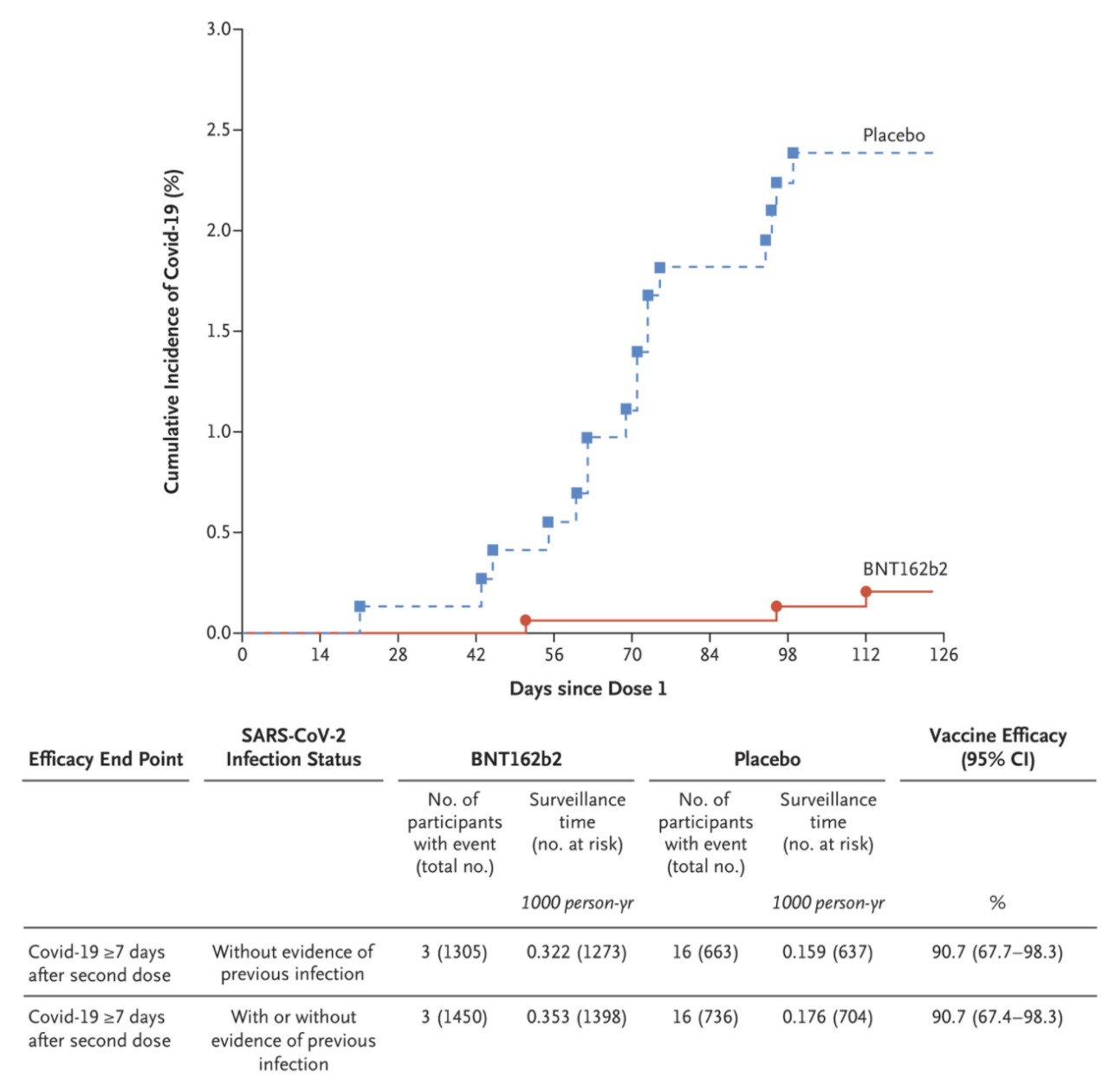
Evaluación de la vacuna Pfizer - BioNTech  (BNT162b2 Covid-19) en niños de 5 a 11 años

10 noviembre 2021

Este estudio encontró que un régimen de vacunación con Covid-19 que consiste en dos dosis de 10 μg de BNT162b2 administradas con 21 días de diferencia es seguro, inmunogénico y eficaz en niños de 5 a 11 años de edad. N Eng J Med, 9 de noviembre de 2021

Seguridad, inmunogenicidad y eficacia de las vacunas COVID-19 en niños y adolescentes: revisión sistemática.

05 noviembre 2021

Dos vacunas COVID-19 tienen efectos protectores potenciales en niños y adolescentes, pero se necesita conciencia para monitorear los posibles efectos adversos después de la inyección. Aún se necesitan con urgencia estudios clínicos de la vacuna COVID-19 en niños y adolescentes con mayor tiempo de seguimiento, mayor tamaño de muestra y una mayor variedad de vacunas. Vaccines (Basel), 29 de septiembre de 2021

Duración del nivel de anticuerpos tras la vacunación con ARNm SARS-CoV-2 en individuos con o sin infección previa

03 noviembre 2021

Los trabajadores sanitarios con infección previa por SARS-CoV-2 seguida de 2 dosis de la vacuna de ARNm desarrollaron mediciones de anticuerpos de pico más altas que las personas con vacunación sola. Un intervalo más largo entre la infección y la primera dosis de la vacuna puede mejorar la respuesta de anticuerpos.JAMA, 01 de noviembre de 2021

Categorias

Etiquetas