Farmacología
Comprender la seguridad de las vacunas y las funciones de la FDA y los CDC
29 abril 2022
Una comprensión y aceptación generalizadas de las vacunas será un aspecto integral de las estrategias de salud pública para limitar las consecuencias de futuras pandemias. Esta revisión analiza cómo se evalúan la seguridad y la eficacia de las vacunas, las vías por las cuales las vacunas se autorizan o autorizan, y las consideraciones abordadas por los organismos asesores al establecer recomendaciones de vacunas. N Engl J Med, 28 de abril de 2022
Refuerzo de la vacuna BNT162b2 (Pfizer-BioNTech ) y mortalidad debida a Covid-19
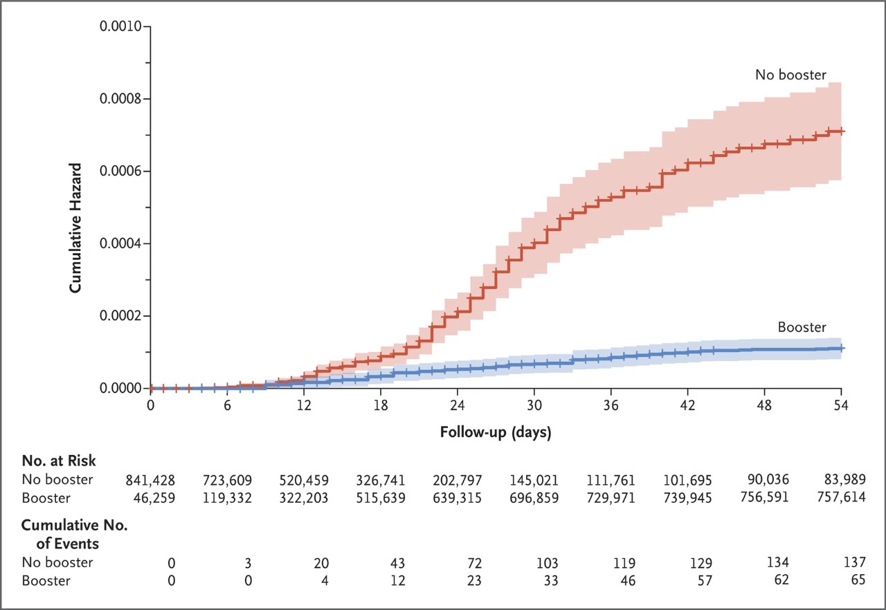
10 diciembre 2021
Los participantes que recibieron un refuerzo al menos 5 meses después de una segunda dosis de BNT162b2 (Pfizer-BioNTech) tuvieron un 90% menos de mortalidad debido a Covid-19 que los participantes que no recibieron un refuerzo. N Engl J Med. 8 de diciembre de 2021
Seguridad e inmunogenicidad de siete vacunas COVID-19 como tercera dosis (refuerzo) tras dos dosis de Oxford-AstraZeneca o Pfizer-BioNTech (ensayo COV-BOOST)
03 diciembre 2021
Todas las vacunas del estudio potenciaron las respuestas de anticuerpos y neutralizantes después del ciclo inicial de ChAdOx1 nCoV-19 /ChAdOx1 nCoV-19, y todas excepto una después de Pfizer-BioNTech / Pfizer-BioNTech, sin problemas de seguridad. Las diferencias sustanciales en las respuestas humorales y celulares y la disponibilidad de la vacuna influirán en las decisiones políticas para la vacunación de refuerzo. Lancet, 2 de diciembre de 2021
Eficacia a nivel nacional de cinco vacunas contra el SARS-CoV-2 en Hungría: el estudio HUN-VE
29 noviembre 2021
Nuestro estudio observacional demostró la eficacia alta o muy alta de cinco vacunas diferentes [BNT162b2 (Pfizer-BioNTech), HB02 (Sinopharm), Gam-COVID-Vac (Sputnik-V), AZD1222 (AstraZeneca) o ARNm-1273 ( Moderna)] en la prevención de la infección por SARS-CoV-2 y la muerte relacionada con Covid-19. Clin Microbiol Infect. 24 de noviembre de 2021
Información regional y global consolidada sobre ESAVI contra la covid-19. Actualización: 8 de noviembre de 2021
24 noviembre 2021