Farmacología

Variantes del COVID-19 en Argentina. Junio 2021

10 junio 2021

Reporte N°23: Vigilancia de variantes de SARS-CoV-2 en la CABA, provincias de Buenos Aires, Córdoba, Entre Ríos, Neuquén y Santa Fe. Hasta el momento, sobre un total de 2238 muestras analizadas a través de la vigilancia activa por secuenciación de Spike o de genoma completo, las variantes más detectadas fueron el linaje C.37 (variante Andina) en 412 casos y la variante Gamma (P.1, Manaos) en 398 casos, especialmente en las últimas SE analizadas.Ministerio de Salud de la Nación, 7 de junio  de 2021

Respuesta neutralizante contra variantes después de la infección por SARS-CoV-2 y una dosis de BNT162b2

07 mayo 2021

Este estudio mostró que, en nuestra pequeña cohorte, una dosis de vacuna aumentó sustancialmente la actividad neutralizante contra todas las variantes probadas, con títulos similares detectados en pacientes para cada variante. Esto resalta la importancia de la vacunación incluso en pacientes previamente infectados, dado el beneficio adicional de una mayor respuesta de anticuerpos a las variantes probadas. N Engl J Med,7 de abril de 2021

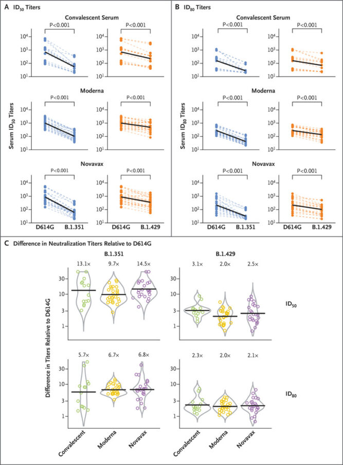
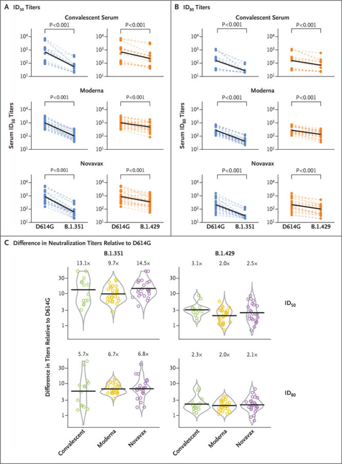
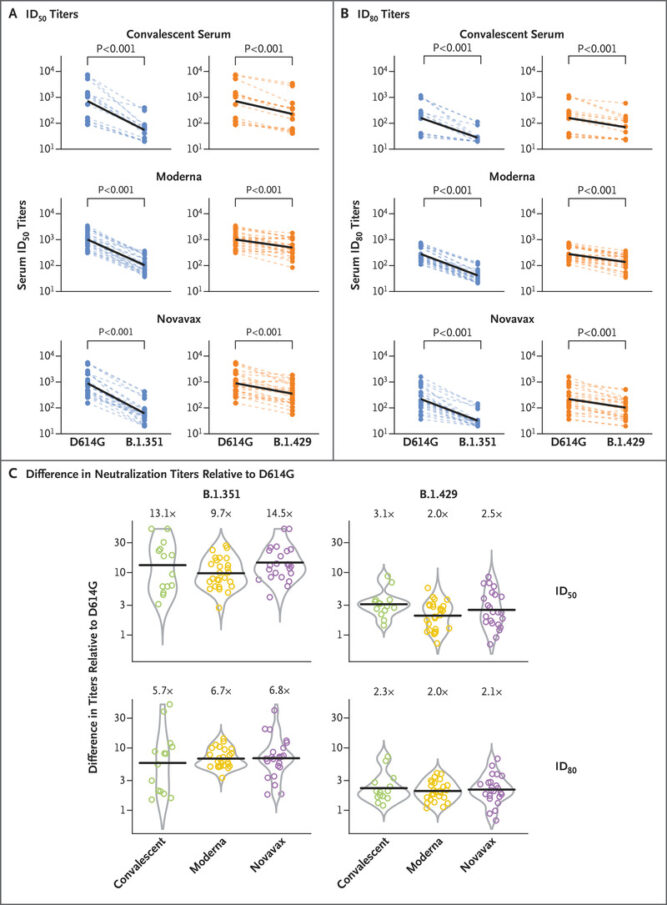
Neutralización de las variantes California (B.1.429) y Sudáfricana (B.1.351) del SARS-CoV-2

12 abril 2021

El valor modestamente más bajo en los títulos de neutralización contra la variante B.1.429 (californiana) visto en este estudio es similar al que vimos anteriormente cuando se probó la neutralización de la variante B.1.1.7 (británica) . Estos resultados, y la alta eficacia mostrada por estas vacunas, sugieren que es probable que los anticuerpos neutralizantes provocados por la vacuna sigan siendo eficaces contra la variante B.1.429. La magnitud de la resistencia observada con la variante B.1.351 (sudafricana) es de mayor preocupación con respecto a las vacunas actuales. N Engl J Med, 7 de abril de 2021

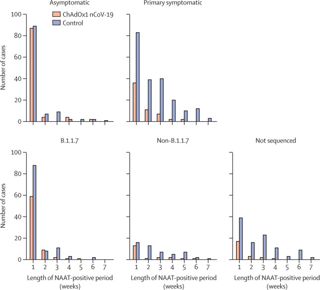
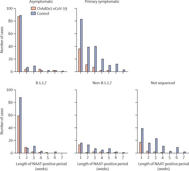
Eficacia de la vacuna AstraZeneca  contra la variante británica: análisis exploratorio de un ensayo controlado aleatorio

31 marzo 2021

la vacuna AstraZeneca (ChAdOx1 nCoV-19) mostró una actividad de neutralización reducida contra la variante B.1.1.7 en comparación con una variante no B.1.1.7 in vitro, pero la vacuna mostró eficacia contra la variante B.1.1.7 del SARS-CoV-2. Lancet, 30 de marzo de 2021

Nuevas variantes del SARS-CoV-2: implicaciones clínicas, de salud pública y de las vacunas

25 marzo 2021

El potencial de las variantes para escapar de la inmunidad inducida naturalmente y por vacunas hace que el desarrollo de vacunas de próxima generación que provoquen una amplia actividad neutralizante contra las variantes actuales y potenciales futuras sea una prioridad. La supresión de la replicación viral con medidas de salud pública y la distribución equitativa de vacunas es fundamental para reducir el riesgo de generación de nuevas variantes. N Engl J Med, 24 de marzo de 2021

Categorias

Etiquetas