Farmacología
Consumo de alimentos según grado de procesamiento de los alimentos y riesgo de diabetes mellitus tipo 2
                    17 septiembre 2024
                
            
            Los hallazgos de este análisis de cohorte prospectivo de la Investigación Prospectiva Europea sobre Cáncer y Nutrición (EPIC), respaldan las recomendaciones de centrarse en la reducción de la ingesta de alimentos ultraprocesados (UPF) específicos para disminuir el riesgo de diabetes mellitus tipo 2. The Lancet Regional Health – Europe, 16 de septiembre de 2024
Estimación del efecto económico del daño asociado con la prescripción de alto riesgo de medicamentos antiinflamatorios no esteroideos orales en Inglaterra
                    06 agosto 2024
                
            
            Este estudio de cohorte de base poblacional y modelado económico, encontró que los AINE siguen siendo una fuente de daños evitables y de costos de atención médica en estas cinco poblaciones de alto riesgo, especialmente al inducir un evento agudo en personas con enfermedades crónicas y personas que toman anticoagulantes orales. BMJ 24 de julio de 2024
Factores de riesgo asociados con el trastorno post-COVID-19
                    28 marzo 2023
                
            
            Esta revisión sistemática y metanálisis demostraron que ciertas características demográficas (p. ej., edad y sexo), comorbilidades y COVID-19 grave se asociaron con un mayor riesgo de trastorno post-COVID-19 (TPC), mientras que la vacunación tuvo un papel protector contra el desarrollo de secuelas de TPC. Estos hallazgos pueden permitir una mejor comprensión de quién puede desarrollar TPC y proporcionar evidencia adicional de los beneficios de la vacunación. JAMA Intern Med. 23 de marzo de 2023.
Riesgo de desarrollar diabetes tipo 2 en pacientes con diabetes gestacional
                    03 octubre 2022
                
            
            Los índices de riesgo de diabetes tipo 2 fueron menores para aquellas mujeres que tenían valores óptimos de los factores de riesgo modificables. Con 1, 2, 3, 4 y 5 factores en valor óptimo el riesgo relativo fue de 0.94, 0.61, 0.32, 0.15 y 0.08, respectivamente. La asociación inversa se observó incluso en participantes con sobrepeso/obesidad o con mayor susceptibilidad genética. British Medical Journal, 21 de septiembre de 2022.
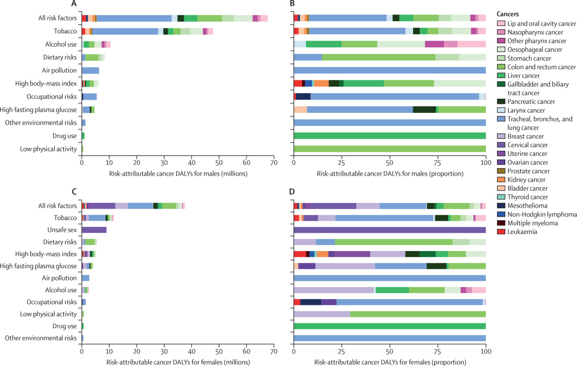
La carga mundial de cáncer atribuible a factores de riesgo, 2010-19: Estudio de la carga mundial de morbilidad 2019
                    19 agosto 2022
                
            
            