Farmacología

Pescado en la dieta y riesgo cardiovascular

04 mayo 2021

En este estudio de cohortes de personas con y sin enfermedad cardiovascular previa se encontró que dos porciones semanales de pescado se asocian con un menor riesgo de mortalidad y de eventos cardiovasculares en los pacientes con enfermedad previa, pero no en la población general. JAMA Internal Medicine, 8 de marzo de 2021.

Aumento de la mortalidad en EEUU durante la pandemia

05 abril 2021

Se registró un aumento del 22,9% en la mortalidad por todas las causas desde el inicio de la pandemia, del cual el 72% se atribuyó directamente a COVID-19 y el resto a otras causas. El exceso de muertes fue porcentualmente mayor en las personas negras no hispanas. JAMA, 2 de abril de 2021.

Mortalidad de pacientes afectados por la “variante británica” (B.1.1.7) del SARS-CoV-2

10 marzo 2021

En el seguimiento de pacientes del Reino Unido se constató un aumento relativo del 64% (32% a 104%) en la mortalidad de los infectados con la nueva variante del virus pandémico. British Medical Journal, 10 de marzo de 2021.

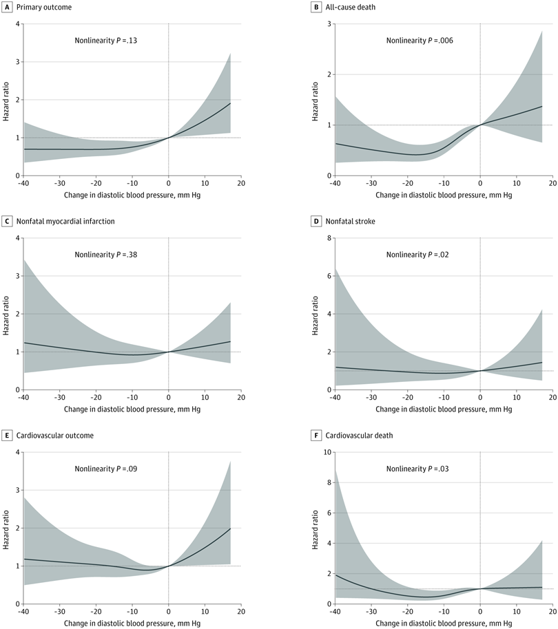
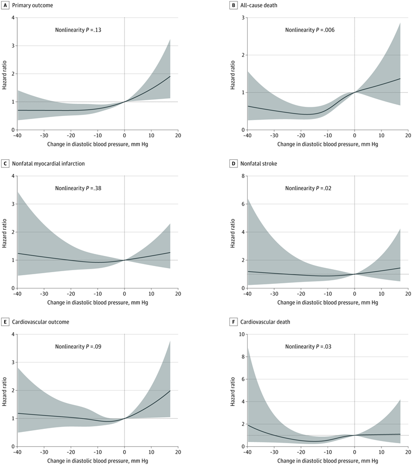
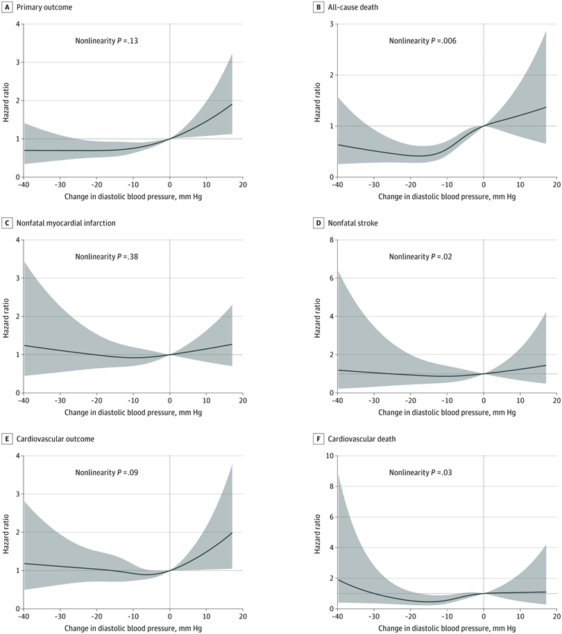
Presión arterial diastólica tratada: ¿Qué tan baja es demasiado baja?

18 febrero 2021

Este estudio de cohorte encontró que la reducción de la presión arterial diastólica a menos de 60 mm Hg se asoció con un mayor riesgo de eventos cardiovasculares en pacientes con alto riesgo cardiovascular y una presión arterial sistólica tratada inferior a 130 mm Hg. El hallazgo de que un valor de presión arterial diastólica entre 70 y 80 mm Hg era un objetivo óptimo para esta población de pacientes merece un estudio adicional.  JAMA Netw Open, 17 de febrero de 2021

Tocilizumab en Covid-19: beneficio clínico pero sin descenso de la mortalidad

11 enero 2021

En pacientes hospitalizados con neumonía Covid-19 que no estaban recibiendo ventilación mecánica, tocilizumab redujo la probabilidad de progresión al resultado combinado de ventilación mecánica o muerte, pero no mejoró la supervivencia. New England Journal of Medicine, 7 de enero de 2021.

Categorias

Etiquetas