Farmacología

Seguridad e inmunogenicidad de la vacuna ChAdOx1 nCoV-19 administrada en un régimen de refuerzo primario en adultos jóvenes y ancianos (COV002): un ensayo simple ciego, aleatorizado, controlado, de fase 2/3

19 noviembre 2020

ChAdOx1 nCoV-19 parece ser mejor tolerado en adultos mayores que en adultos jóvenes y tiene una inmunogenicidad similar en todos los grupos de edad después de una dosis de refuerzo. Se justifica una evaluación adicional de la eficacia de esta vacuna en todos los grupos de edad e individuos con comorbilidades. Lancet ,18 de noviembre de 2020

Seguridad, tolerabilidad e inmunogenicidad de una vacuna inactivada (CoronaVac ) contra el SARS-CoV-2 en adultos sanos de 18 a 59 años: ensayo clínico de fase 1/2 aleatorizado, doble ciego, controlado con placebo

18 noviembre 2020

Entre el 16 y el 25 de abril de 2020, se inscribieron 144 participantes en el ensayo de fase 1, y entre el 3 y el 5 de mayo de 2020, se inscribieron 600 participantes en el ensayo de fase 2. Teniendo en cuenta la seguridad, la inmunogenicidad y la capacidad de producción, la dosis de 3 μg de CoronaVac es la dosis sugerida para la evaluación de la eficacia en futuros ensayos de fase 3. Lancet Infect Dis. 17 de noviembre de 2020

Ley de vacunas destinadas a generar inmunidad adquirida contra el COVID-19

06 noviembre 2020

Ley 27573, publicado en el Boletín Oficial el 6 de noviembre de 2020

Autorización de uso de emergencia de las vacunas Covid: consideraciones de seguimiento de seguridad y eficacia

05 noviembre 2020

Reconociendo la gravedad de la emergencia de salud pública actual y la importancia de hacer que una vacuna esté disponible lo antes posible, creemos que una mediana de seguimiento de 2 meses después de la finalización del régimen de vacuna proporcionará los datos de seguridad y eficacia necesarios para respaldar la distribución de una vacuna en investigación bajo una AUE. La reducción de este seguimiento mínimo podría destruir la credibilidad científica de la decisión de autorizar cualquier vacuna para su uso bajo una autorización de uso de emergencia (AUE)  . N Engl J Med,  5 de noviembre de 2020

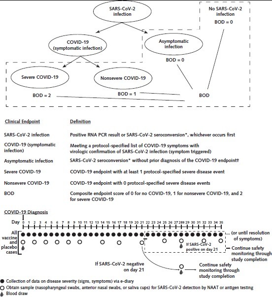
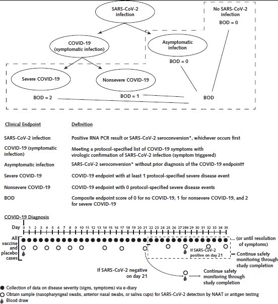
Criterios de desenlace clínicos para evaluar la eficacia en los ensayos de la vacuna COVID-19

26 octubre 2020

Para facilitar la evaluación armonizada y la comparación de la eficacia de estas vacunas, se propone un conjunto general de criterios de valoración clínicos, junto con consideraciones para orientar la selección de los criterios de valoración primarios sobre la base del razonamiento clínico y estadístico. S Ann Intern Med, 22 de octubre de 2020

Categorias

Etiquetas