Farmacología

Seguridad y eficacia de la vacuna Ad26.COV2.S  de dosis única (Janssen) contra Covid-19

22 abril 2021

Una dosis única de Ad26.COV2.S protegió contra la infección sintomática por Covid-19 y asintomática por SARS-CoV-2 y fue eficaz contra la enfermedad grave, incluyendo la hospitalización y la muerte. La seguridad pareció ser similar a la de otros ensayos de fase 3 de las vacunas Covid-19. N Eng J Med, 21 de abril de 2021

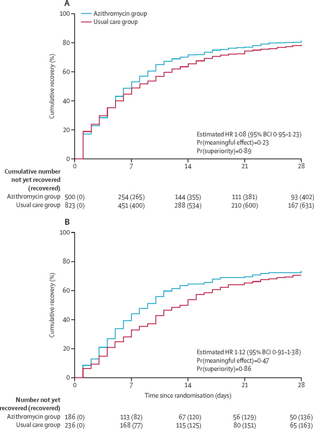
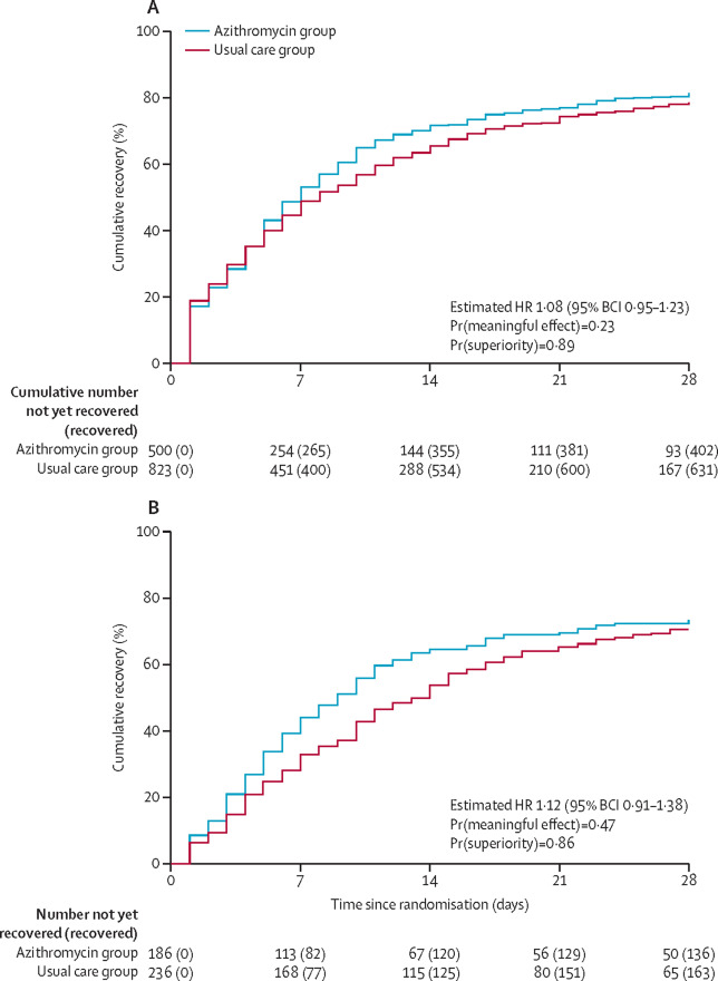
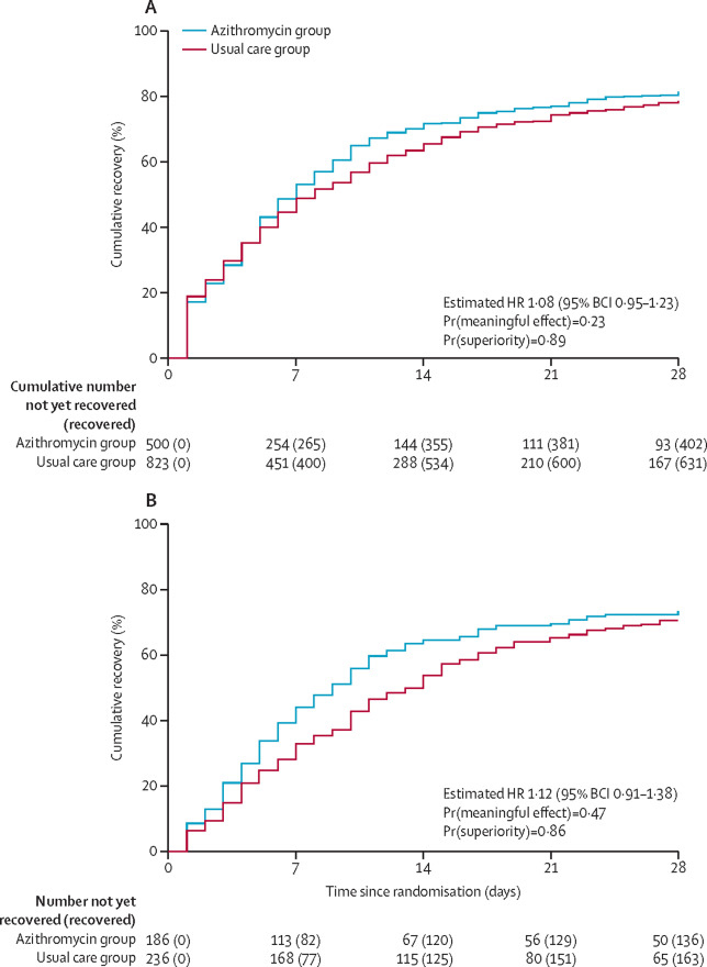
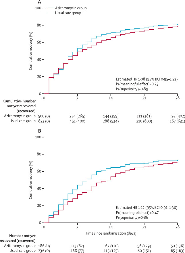
Azitromicina para tratamiento comunitario de COVID-19 en personas con riesgo de complicaciones

08 marzo 2021

Estos hallazgos no justifican el uso rutinario de azitromicina para reducir el tiempo de recuperación o el riesgo de hospitalización de personas con sospecha de COVID-19 en la comunidad. Estos hallazgos tienen importantes implicaciones en la administración de antibióticos durante esta pandemia, ya que el uso inadecuado de antibióticos conduce a una mayor resistencia a los antimicrobianos, y hay evidencia del aumento del uso de azitromicina durante la pandemia en el Reino Unido. Lancet, 4 de marzo de 2021

Evitar la explotación en ensayos multinacionales de la vacuna covid-19

05 marzo 2021

Los países de ingresos bajos y medianos deben beneficiarse, no solo participar. los ensayos de vacunas covid-19 multinacionales en curso y futuros pueden tener que depender de participantes de países de ingresos bajos y medianos (PIBM), donde el acceso a las vacunas sigue siendo limitado. Es fundamental garantizar que los ensayos no exploten a estas personas y países.BMJ , 4 de marzo de 2021

Efecto de la ivermectina sobre el tiempo hasta la resolución de los síntomas en adultos con COVID-19 leve:  ensayo clínico aleatorizado

05 marzo 2021

Entre los adultos con COVID-19 leve, un curso de 5 días de ivermectina, en comparación con placebo, no mejoró significativamente el tiempo hasta la resolución de los síntomas. Los hallazgos no apoyan el uso de ivermectina para el tratamiento del COVID-19 leve, aunque pueden ser necesarios ensayos más grandes para comprender los efectos de la ivermectina en otros resultados clínicamente relevantes. JAMA,  4 de marzo de 2021

Efecto de la suplementación de zinc y vitamina C en dosis altas frente a la atención habitual sobre la duración y la reducción  de los síntomas  en pacientes ambulatorios con infección por SARS-CoV-2

12 febrero 2021

En este ensayo clínico aleatorizado (COVID A to Z) de pacientes ambulatorios diagnosticados con infección por SARS-CoV-2, el tratamiento con altas dosis de gluconato de zinc, ácido ascórbico o una combinación de los 2 suplementos no disminuyó significativamente la duración de los síntomas en comparación con el cuidado estándar . JAMA Netw open,12 de febrero de 2021

Categorias

Etiquetas