Farmacología
Neutralización de las variantes California (B.1.429) y Sudáfricana (B.1.351) del SARS-CoV-2
12 abril 2021
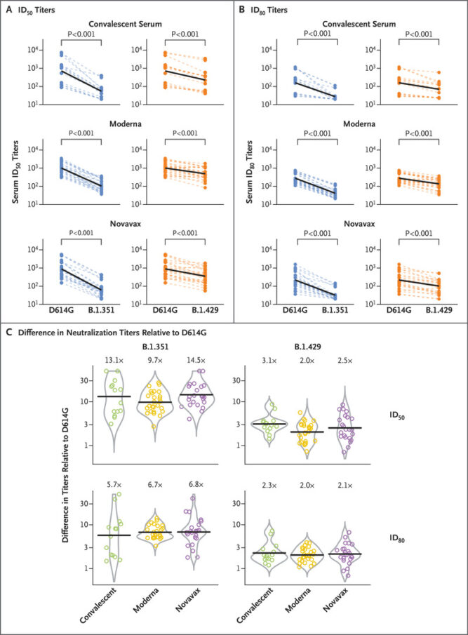
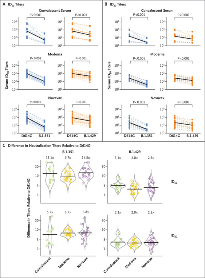
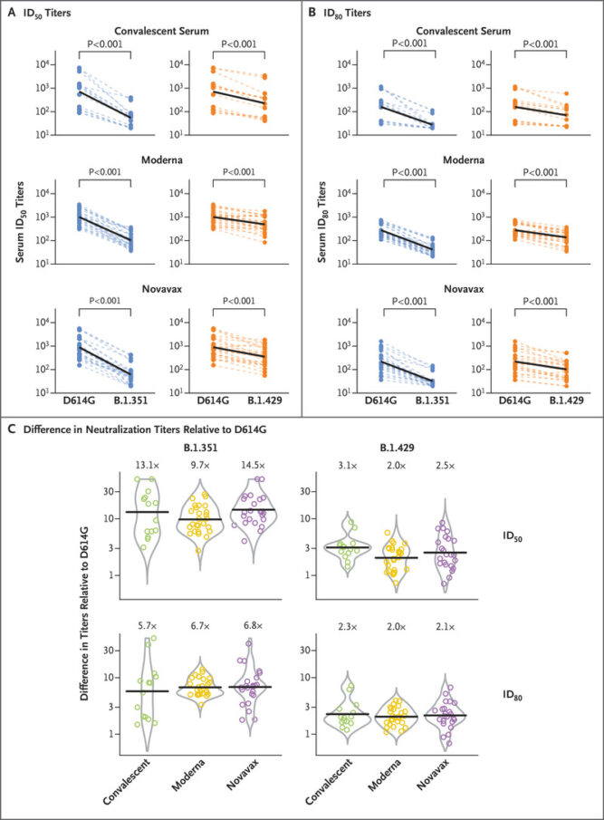
El valor modestamente más bajo en los títulos de neutralización contra la variante B.1.429 (californiana) visto en este estudio es similar al que vimos anteriormente cuando se probó la neutralización de la variante B.1.1.7 (británica) . Estos resultados, y la alta eficacia mostrada por estas vacunas, sugieren que es probable que los anticuerpos neutralizantes provocados por la vacuna sigan siendo eficaces contra la variante B.1.429. La magnitud de la resistencia observada con la variante B.1.351 (sudafricana) es de mayor preocupación con respecto a las vacunas actuales. N Engl J Med, 7 de abril de 2021
Anulación de las patentes de tecnología médica y de medicamentos para la recuperación de una pandemia: una medida legítima también para los países de ingresos altos
09 abril 2021
Sobre la legitimidad y utilidad de las licencias obligatorias y otras flexibilidades de los ADPIC en la lucha contra la pandemia COVID19. BMJ Global Health, 7 de abril de 2021
Asociación del tipo de grupo sanguíneo y factores sociodemográficos con el riesgo de COVID-19
09 abril 2021
Este estudio concluye que las asociaciones importantes de SARS-CoV-2 y COVID-19 con grupos ABO son poco probables y no son factores útiles asociados con la susceptibilidad o la gravedad de la enfermedad en un nivel individual o de población para entornos y ancestros similares. Se requieren estudios adicionales, estrechamente controlados por genética, geografía y cepa viral, antes de aceptar el grupo sanguíneo como un determinante de predisposición o gravedad de COVID-19. Asociación del tipo de grupo sanguíneo con el riesgo de COVID-19. JAMA Netw Open, 5 de abril de 2021
Comparación de la efectividad estimada de las intervenciones basadas en casos y en la población sobre la contención de COVID-19 en Taiwán
08 abril 2021
En este estudio de investigación de efectividad comparativa, la combinación de intervenciones basadas en casos y poblaciones (con una amplia adherencia) puede explicar el éxito del control de COVID-19 en Taiwán en 2020. Cualquiera de las dos categorías de intervenciones por sí solas habría sido insuficiente, incluso en un país con un sistema de salud pública eficaz y un programa integral de localización de contactos. Mitigar la pandemia de COVID-19 requiere el esfuerzo colaborativo de los profesionales de la salud pública y el público en general. JAMA Intern Med, 6 de abril de 2021.
Información regional y global consolidada sobre ESAVI contra la covid-19. Actualización 31 de marzo de 2021
07 abril 2021