Farmacología

Pase sanitario ‘CUIDAR’ desde el 1 de enero de 2022

13 diciembre 2021

La acreditación de esquema completo de vacunación COVID-19 será requerida desde el 1 de enero a toda persona, a partir de los 13 años de edad, para poder realizar actividades consideradas de riesgo epidemiológico. La medida fue tomada a partir del consenso entre todas las jurisdicciones y el gobierno nacional, siendo una herramienta clave para sostener los logros, reducir los riesgos epidemiológicos y seguir brindando protección contra COVID-19 a cada vez más ciudadanas y ciudadanos. Además, las jurisdicciones podrán exigir la acreditación del esquema completo para actividades adicionales en función de la situación epidemiológica, el plan de vacunación local y los avances en las coberturas de vacunación contra COVID-19.Ministerio de Salud de la Nación, 12 de diciembre de 2021

Eficacia de la oxigenoterapia de alto flujo en pacientes internados con Covid-19

13 diciembre 2021

En un ensayo clínico realizado en Colombia se encontró que el uso de oxígeno de alto flujo a través de una cánula nasal en pacientes con Covid-19 grave disminuyó significativamente la necesidad de soporte de ventilación mecánica y el tiempo de recuperación clínica en comparación con la terapia de oxígeno convencional de bajo flujo. JAMA, 7 de diciembre de 2021.

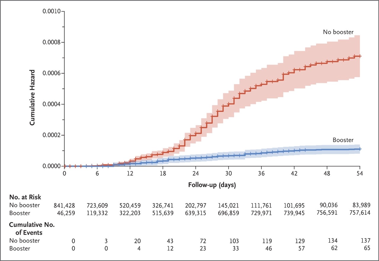
Refuerzo de la vacuna BNT162b2 (Pfizer-BioNTech ) y mortalidad debida a Covid-19

10 diciembre 2021

Los participantes que recibieron un refuerzo al menos 5 meses después de una segunda dosis de BNT162b2 (Pfizer-BioNTech) tuvieron un 90% menos de mortalidad debido a Covid-19 que los participantes que no recibieron un refuerzo.  N Engl J Med. 8 de diciembre de 2021

Inmunogenicidad, seguridad y reactogenicidad de la vacunación heteróloga para SARS-CoV-2

09 diciembre 2021

Luego de una dosis inicial de las vacunas ChAd (AstraZeneca) o BNT (Pfizer), una segunda dosis heteróloga con m1273 (Moderna) aumentó la reactogenicidad sistémica en comparación con los esquemas homólogos. La segunda dosis de NVX (Novavax) no obtuvo el mismo resultado. The Lancet, 6 de diciembre de 2021.

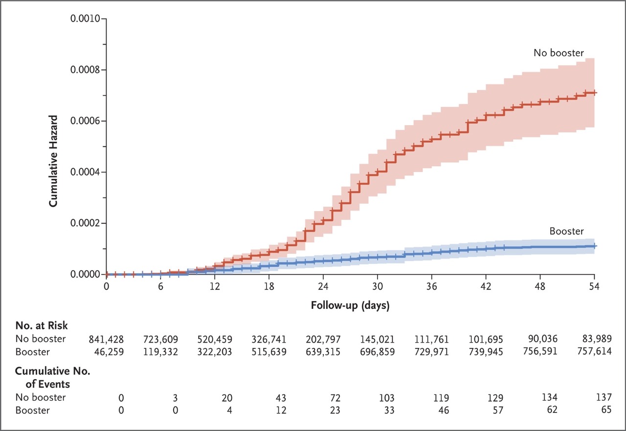
Efecto de la dosis de refuerzo de la vacuna BNT162b2 sobre la mortalidad por COVID

09 diciembre 2021

En este estudio de cohortes realizado en Israel, los participantes que recibieron un refuerzo de la vacuna BNT162b2 (Pfizer) al menos 5 meses después de recibir la segunda dosis tuvieron un 90% menos de mortalidad debido a Covid-19 que los participantes que no recibieron un refuerzo. New England Journal of Medicine, 8 de diciembre de 2021.

Categorias

Etiquetas