Farmacología

Efecto de la melatonina sobre la calidad de vida y los síntomas en pacientes con cáncer

15 septiembre 2022

Los resultados de esta  revisión sistemática y metanálisis de ensayos controlados aleatorios, mostraron que melatonina (MLT)  no mejoró la calidad de vida (CdV), la calidad del sueño, la fatiga, el dolor o la gravedad de la estomatitis entre los pacientes con cáncer. Tuvo un efecto limitado en la disminución de la tasa de estomatitis y el alivio de la depresión. Diferentes tratamientos, duraciones y tipos de cáncer fueron las principales fuentes de heterogeneidad. Se necesitan con urgencia más ECA a gran escala. Además, los efectos de diferentes combinaciones de dosis y duración de MLT, tipos de administración y medidas conjuntas merecen un estudio adicional. BMJ Open, 14 de septiembre de 2022

Deprescripción en cuidados paliativos oncológicos

05 septiembre 2022

El objetivo de esta revisión es dar algunos consejos sobre cuándo y cómo desprescribir medicamentos en los cuidados paliativos del cáncer según la evidencia actual y la práctica clínica. La revisión incluye fármacos antihipertensivos, estatinas, anticoagulantes, aspirina, antidiabéticos, inhibidores de la bomba de protones,antagonistas de histamina-2, bisfosfonatos, denosumab, urológicos, antidepresivos, cortisona, tiroxina y vitaminas. Life (Basel), 2022

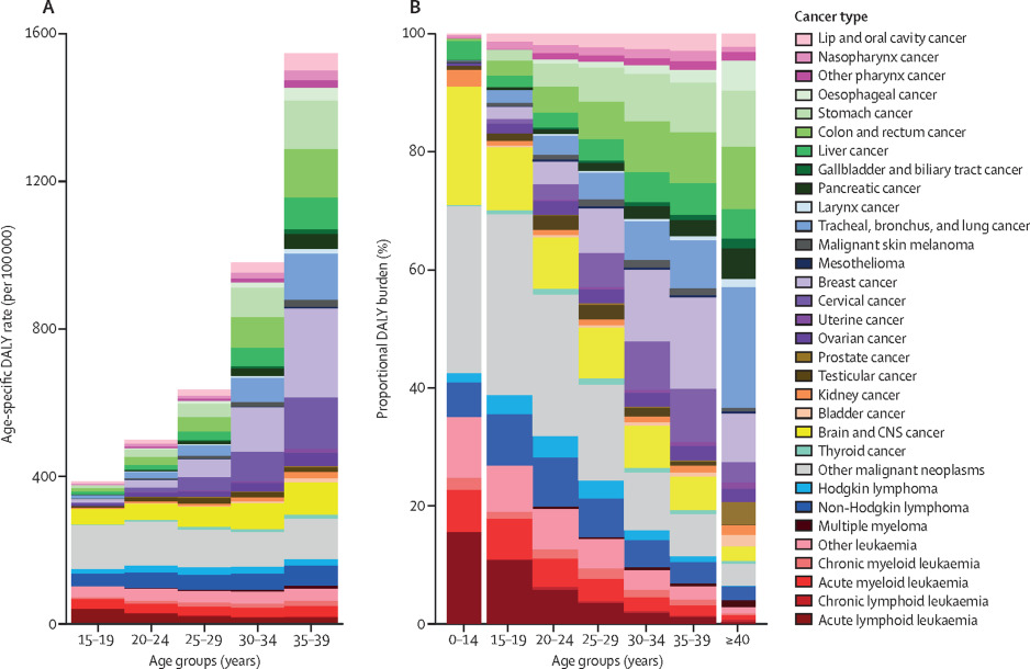
La carga mundial de cáncer atribuible a factores de riesgo, 2010-19: Estudio de la carga mundial de morbilidad 2019

19 agosto 2022

Este análisis sistemático para el Estudio de la carga mundial de morbilidad 2019, encontró que los principales factores de riesgo que contribuyeron a la carga global de cáncer en 2019 fueron conductuales, mientras que los factores de riesgo metabólicos experimentaron los mayores aumentos entre 2010 y 2019. Reducir la exposición a estos factores de riesgo modificables disminuiría la mortalidad por cáncer y las tasas de años de vida ajustados por discapacidad en todo el mundo, y las políticas deben adaptarse adecuadamente a carga local de factores de riesgo de cáncer. Lancet, 20 de agosto de 2022

Mortalidad en pacientes con cáncer e infección por SARS-CoV-2: Resultados de la Red Argentina de Registros Hospitalarios de Cáncer

28 junio 2022

Los pacientes con cáncer e infección por SARS-CoV-2 tuvieron una alta tasa de letalidad. Los factores de riesgo identificados (edad avanzada, diagnóstico reciente y tipo de pulmón) podrían orientar las estrategias de prevención destinadas a reducir el riesgo de morir por COVID-19 en pacientes con cáncer. Cancer Epidemiology , junio de 2022

Tendencias de la epidemiología del cáncer en América Latina y el Caribe

23 junio 2022

En este análisis del registro Globocan se encuentra que los patrones regionales de la inicidencia y mortalidad por cáncer reflejan importantes cambios sociodemográficos subyacentes que se han producido en las últimas décadas. Argentina y Uruguay se encuentran entre los países con tasas más elevadas de ambos indicadores. La mortalidad ajustada por edad por cáncer de mama y de próstata  viene descendiendo en Argentina en las últimas décadas. The Lancet Regional Health Americas, 17 de junio de 2022.

Categorias

Etiquetas