Farmacología

Riesgo cardiovascular y de cáncer con tofacitinib en la artritis reumatoide

27 enero 2022

En este ensayo que comparó las dosis combinadas de tofacitinib con un  inhibidor del factor de necrosis tumoral (iTNF) en una población con riesgo cardiovascular elevado, los riesgos de eventos cardiovasculares adversos mayores  y cánceres fueron mayores con tofacitinib y no cumplieron con los criterios de no inferioridad. Varios eventos adversos fueron más comunes con tofacitinib. N Engl J Med, 27 de enero de 2022

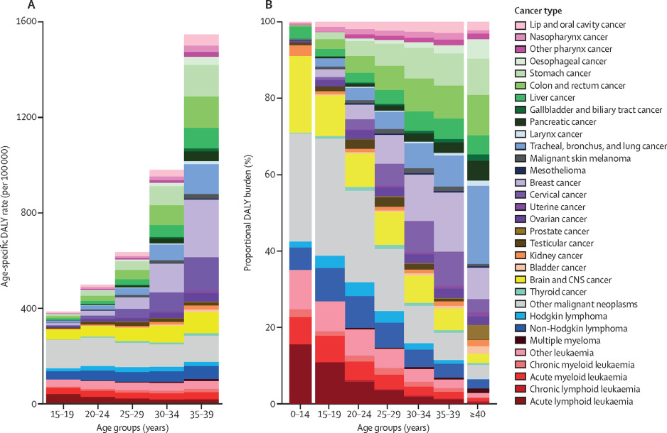
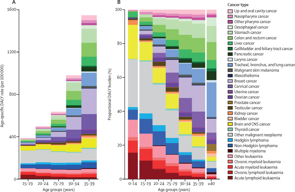
Análisis de la carga mundial del cáncer en adolescentes y adultos jóvenes en 2019

17 diciembre 2021

Los cánceres de adolescentes y adultos jóvenes contribuyeron sustancialmente a la carga global de morbilidad de los adolescentes y adultos jóvenes a nivel mundial en 2019. Estos resultados proporcionan nuevos conocimientos sobre la distribución y la magnitud de la carga de cáncer de adolescentes y adultos jóvenes en todo el mundo. Con notables diferencias observadas en los entornos de índices sociodemográficos  diferentes, estas estimaciones pueden informar los esfuerzos de control del cáncer a nivel mundial y nacional.  Lancet Oncol, 3 de diciembre de 2021.

Carga mundial de cánceres de las vías respiratorias y factores de riesgo asociados entre 1990-2019

25 agosto 2021

El número de casos incidentes y muertes por cáncer de tráquea, bronquios y pulmón y cáncer de laringe aumentó a nivel mundial durante la última década. Aún más preocupante, la incidencia estandarizada por edad y las tasas de mortalidad debidas a cáncer de tráquea, bronquios, pulmón y laringe aumentaron en algunas poblaciones, a saber, en los quintiles de SDI más bajos y entre las mujeres. En estos entornos deben tener prioridad medidas preventivas como intervenciones de control del tabaquismo, programas de gestión de la calidad del aire centrados en las principales fuentes de contaminación del aire y el acceso generalizado a energía limpia. Lancet Resp Med, 16 de agosto de 2021

Posible impacto negativo de las decisiones de Agencias reguladoras reputadas sobre el estado de aprobación de nuevos medicamentos contra el cáncer en los países de América Latina

14 julio 2021

Los países de América Latina siguen aprobando nuevos medicamentos contra el cáncer, a menudo basándose en ensayos clínicos mal realizados que miden criterios de valoración sustitutos. La EMA y otros reguladores de renombre deben ser conscientes de que sus decisiones regulatorias pueden influir directamente en las decisiones relativas a la autorización de comercialización, los presupuestos de salud y la atención del paciente en otros lugares. PLoS ONE 13 de julio de 2021

Análisis del precio de lanzamiento y posterior a la aprobación de los medicamentos contra el cáncer, los beneficios clínicos y las implicaciones de las políticas en los EE. UU. y Europa

12 julio 2021

Durante el período de este estudio de evaluación económica, los precios de lanzamiento de los medicamentos contra el cáncer fueron sustancialmente más altos en los EE. UU. que en los países europeos de ingresos altos similares evaluados, una brecha que aumentó en los años posteriores a la aprobación. Los precios de los medicamentos contra el cáncer aumentaron con frecuencia más rápido que la inflación en los EE. UU., pero disminuyeron en términos ajustados a la inflación en Europa. Los cambios de precios no se asociaron con beneficios clínicos en ningún país.  Este estudio sugiere que,  EE. UU. necesitaría tomar las medidas más importantes para abordar los altos costos de los medicamentos contra el cáncer, y Europa también podría reexaminar sus regulaciones de precios para garantizar una mejor alineación con el valor clínico.JAMA Oncol. 1 de julio de 2021.

Categorias

Etiquetas