Farmacología

Agotamiento y compromiso con la atención primaria: lecciones de los primeros impactos de COVID-19 en el estrés laboral de los equipos de práctica de atención primaria

03 marzo 2022

Los equipos de atención primaria absorbieron enormes cargas durante la COVID-19, pero también descubrieron que parte del estrés se compensaba con un mayor apoyo de la gerencia y los colegas, la creencia en su propia necesidad y nuevas oportunidades de desarrollo. Teniendo en cuenta los altos niveles de tensión previos a la pandemia, la capacidad de los equipos de atención primaria para persistir en estas condiciones podría erosionarse a medida que la crisis se convierte en un desafío duradero. Ann Fam Med, 24 de enero de 2022

Directrices para la profilaxis y el manejo de pacientes con COVID-19 leve y moderada en América Latina y el Caribe. Versión abreviada, agosto del 2021

27 agosto 2021

Las recomendaciones se dirigen a todo el personal de salud que atiende a los pacientes en el servicio de urgencias y en atención primaria (médicos generales, especialistas en medicina de urgencias, en neumología, en medicina interna, en medicina familiar y en infectología, así como terapeutas respiratorios y físicos, personal de enfermería y químicos farmacéuticos, entre otros). Organización Panamericana de la Salud, 26 de agosto de 2021

Impacto psicofísico de la pandemia COVID-19 en trabajadores de la salud en Argentina

26 agosto 2021

En una encuesta con más de 1200 participantes se detecto ansiedad en el 40,5%, depresión mayor en el 22,1%, depresión menor en el 10,9% y “burnout” en el 38,7%. El 9,4% aumentó el consumo de tabaco y el 22% el de alcohol; el 62,1% empeoró su calidad de sueño, el 50,2% redujo la realización de ejercicio físico, y el 18,4% deterioró su relación afectiva. El 40,4% sufrió discriminación por ser personal de salud. Revista Argentina de Cardiología, Nº 3 de 2021.

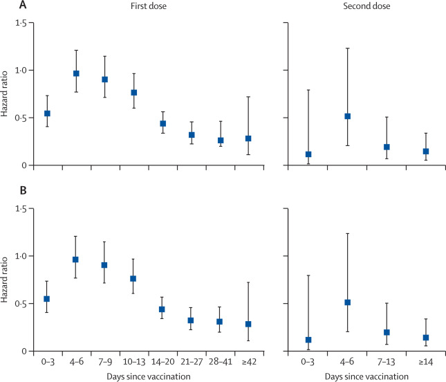
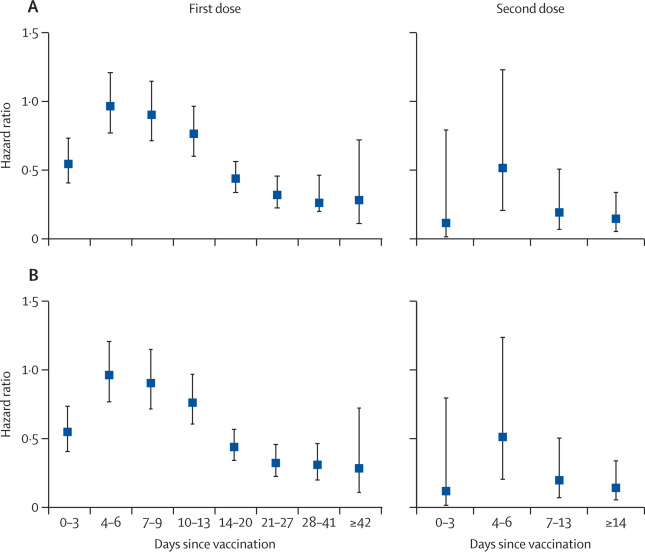
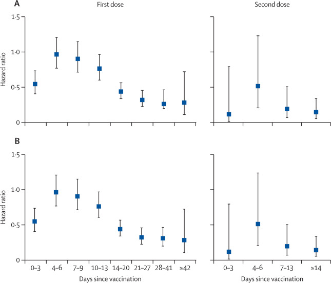
Cobertura de la vacuna COVID-19 en trabajadores de la salud en Inglaterra y efectividad de la vacuna de ARNm BNT162b2 contra la infección (SIREN): un estudio de cohorte prospectivo, multicéntrico

26 abril 2021

la vacuna BNT162b2 puede prevenir la infección sintomática y asintomática en adultos en edad laboral. Esta cohorte fue vacunada cuando la variante dominante en circulación era B1.1.7 y muestra efectividad contra esta variante. Lancet, 23 de abril de 2021

La infección por SARS-CoV-2 en trabajadores sanitarios protege contra las reinfecciones en un seguimiento de 7 meses

15 abril 2021

Un historial previo de infección por SARS-CoV-2 se asoció con un 84% menos de riesgo de infección, con un efecto protector medio observado 7 meses después de la infección primaria. Este período de tiempo es el efecto mínimo probable porque no se incluyeron las seroconversiones. Este estudio muestra que una infección previa con SARS-CoV-2 induce una inmunidad eficaz a futuras infecciones en la mayoría de las personas. Lancet, 9 de abril de 2021

Categorias

Etiquetas