Farmacología

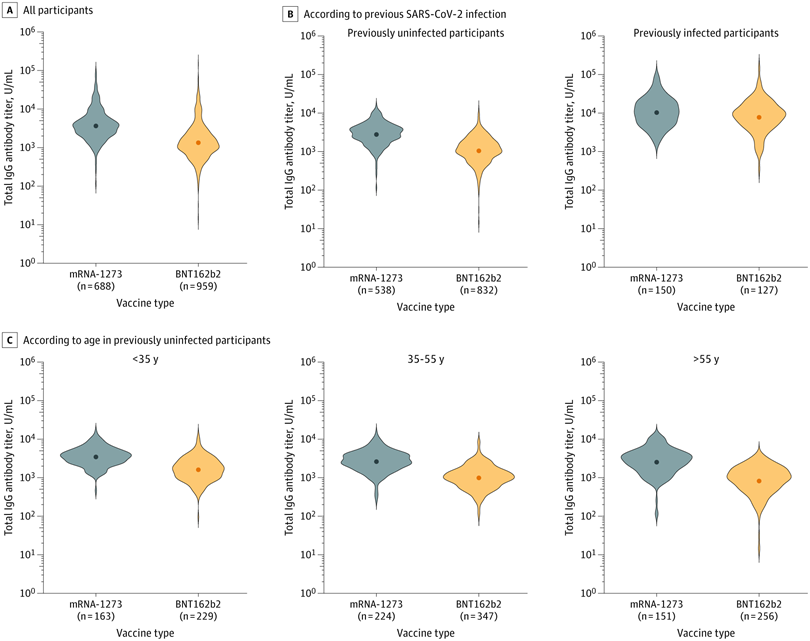
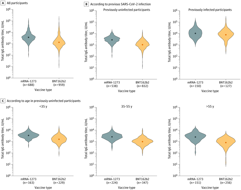
Comparación de la respuesta de anticuerpos del SARS-CoV-2 tras la vacunación con Pfizer-BioNTech y Moderna

01 septiembre 2021

Este estudio encontró una inmunogenicidad humoral significativamente mayor de la vacuna SARS-CoV-2 mRNA-1273 (Moderna) en comparación con la vacuna BNT162b2 (Pfizer-BioNTech), tanto en participantes infectados como no infectados, y en todas las categorías de edad. El mayor contenido de ARNm en ARNm-1273 en comparación con BNT162b2 y el intervalo más largo entre el cebado y el refuerzo para ARNm-1273(3) (4 semanas frente a 3 semanas para BNT162b2) podrían explicar esta diferencia.  JAMA, 30 de Agosto de 2021

Actualización viva en curso de opciones terapéuticas COVID-19: resumen de la evidencia. Revisión rápida 26/8

30 agosto 2021

Según el portal de búsqueda de la Plataforma Internacional de Registro de Ensayos Clínicos (ICTRP, por su sigla en inglés) de la OMS, se están investigando cientos de posibles tratamientos o sus combinaciones en más de 10.000 ensayos clínicos y estudios observacionales. Esta publicación, la 25ª edición de la base de datos de evidencia sobre posibles opciones terapéuticas para COVID-19, examina 137 opciones terapéuticas. Organización Panamericana de la Salud (OPS), 27 de agosto de 2021

Riesgo de trombocitopenia y tromboembolismo tas la vacunación con covid-19 y pruebas positivas de SARS-CoV-2

30 agosto 2021

Se observó mayor riesgo de eventos hematológicos y vasculares que llevaron al ingreso hospitalario o la muerte durante breves intervalos de tiempo tras las primeras dosis de las vacunas las Oxford-AstraZeneca y Pfizer-BioNTech Covid-19. Los riesgos de la mayoría de estos eventos fueron sustancialmente mayores y más prolongados después de la infección por SARS-CoV-2 que después de la vacunación en la misma población. BMJ, 27 de Agosto de 2021

Directrices para la profilaxis y el manejo de pacientes con COVID-19 leve y moderada en América Latina y el Caribe. Versión abreviada, agosto del 2021

27 agosto 2021

Las recomendaciones se dirigen a todo el personal de salud que atiende a los pacientes en el servicio de urgencias y en atención primaria (médicos generales, especialistas en medicina de urgencias, en neumología, en medicina interna, en medicina familiar y en infectología, así como terapeutas respiratorios y físicos, personal de enfermería y químicos farmacéuticos, entre otros). Organización Panamericana de la Salud, 26 de agosto de 2021

Asociación de asistencia presencial limitada en los juegos de la Liga Nacional de Fútbol Americano y de la Asociación Atlética Colegial Nacional con Casos COVID-19 a nivel de condado

27 agosto 2021

Este estudio transversal no encontró un aumento constante en los casos diarios de COVID-19 por cada 100000 residentes. Este estudio sugiere que los juegos de fútbol celebrados con asistencia presencial limitada no se asociaron con un aumento de casos de COVID-19 en los condados en los que se llevaron a cabo. JAMA Netw Open. 17  de agosto  de 2021

Categorias

Etiquetas