Farmacología

Reacciones alérgicas agudas a las vacunas de ARNm COVID-19

11 marzo 2021

En esta cohorte prospectiva de empleados de atención médica, el 98% no tuvo ningún síntoma de una reacción alérgica después de recibir una vacuna de ARNm COVID-19. El 2% restante informó de algunos síntomas alérgicos; sin embargo, se produjeron reacciones graves compatibles con anafilaxia a una tasa de 2,47 por 10000 vacunaciones. Todos los individuos con casos de anafilaxia se recuperaron sin choque ni intubación endotraqueal. JAMA,  8 de marzo de 2021

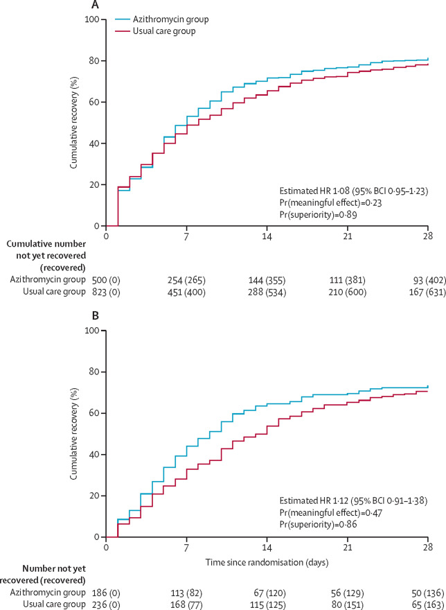
Azitromicina para tratamiento comunitario de COVID-19 en personas con riesgo de complicaciones

08 marzo 2021

Estos hallazgos no justifican el uso rutinario de azitromicina para reducir el tiempo de recuperación o el riesgo de hospitalización de personas con sospecha de COVID-19 en la comunidad. Estos hallazgos tienen importantes implicaciones en la administración de antibióticos durante esta pandemia, ya que el uso inadecuado de antibióticos conduce a una mayor resistencia a los antimicrobianos, y hay evidencia del aumento del uso de azitromicina durante la pandemia en el Reino Unido. Lancet, 4 de marzo de 2021

Evitar la explotación en ensayos multinacionales de la vacuna covid-19

05 marzo 2021

Los países de ingresos bajos y medianos deben beneficiarse, no solo participar. los ensayos de vacunas covid-19 multinacionales en curso y futuros pueden tener que depender de participantes de países de ingresos bajos y medianos (PIBM), donde el acceso a las vacunas sigue siendo limitado. Es fundamental garantizar que los ensayos no exploten a estas personas y países.BMJ , 4 de marzo de 2021

Efecto de la ivermectina sobre el tiempo hasta la resolución de los síntomas en adultos con COVID-19 leve:  ensayo clínico aleatorizado

05 marzo 2021

Entre los adultos con COVID-19 leve, un curso de 5 días de ivermectina, en comparación con placebo, no mejoró significativamente el tiempo hasta la resolución de los síntomas. Los hallazgos no apoyan el uso de ivermectina para el tratamiento del COVID-19 leve, aunque pueden ser necesarios ensayos más grandes para comprender los efectos de la ivermectina en otros resultados clínicamente relevantes. JAMA,  4 de marzo de 2021

Empleo de la vacuna Sputnik V en Argentina: Evaluación de respuesta humoral frente a la vacunación. Informe parcial Enero‐Marzo 2021

04 marzo 2021

Los resultados obtenidos indican que a los 21 días de la primera dosis de la vacuna Sputnik V,el 89 % de los individuos analizados desarrolló anticuerpos IgG anti-Spike detectables, mientrasque a los 21 días de la segunda dosis el 100% de los vacunados desarrolló estos anticuerpos. Ministerio de Salud de la Provincia de Buenos Aires,Ministerio de Ciencia, Tecnología e InnovaciónInstituto Leloir‐ CONICET‐INBIRS‐UNLP. 3 de marzo de 2021

Categorias

Etiquetas