Farmacología

Síndrome de COVID-19 posagudo

26 marzo 2021

Este artícculo proporciona una revisión completa de la literatura actual sobre COVID-19 posaguda, su fisiopatología y sus secuelas específicas de órganos. Finalmente, discutimos las consideraciones relevantes para la atención multidisciplinaria de los sobrevivientes de COVID-19 y proponemos un marco para la identificación de aquellos en alto riesgo de COVID-19 posaguda y su manejo coordinado a través de clínicas dedicadas al COVID-19. Nature Medicine, 22 de marzo de 2021

Reanudación de la vacunación en Europa con AstraZeneca. Preguntas frecuentes

26 marzo 2021

En función del próximo arribo de la vacuna a nuestro país, mediante en el mecanismo COVAX, compartimos el documento de la Agencia Española de Medicamentos y Productos Sanitarios (AEMPS), 23 de marzo de 2021

Nuevas variantes del SARS-CoV-2: implicaciones clínicas, de salud pública y de las vacunas

25 marzo 2021

El potencial de las variantes para escapar de la inmunidad inducida naturalmente y por vacunas hace que el desarrollo de vacunas de próxima generación que provoquen una amplia actividad neutralizante contra las variantes actuales y potenciales futuras sea una prioridad. La supresión de la replicación viral con medidas de salud pública y la distribución equitativa de vacunas es fundamental para reducir el riesgo de generación de nuevas variantes. N Engl J Med, 24 de marzo de 2021

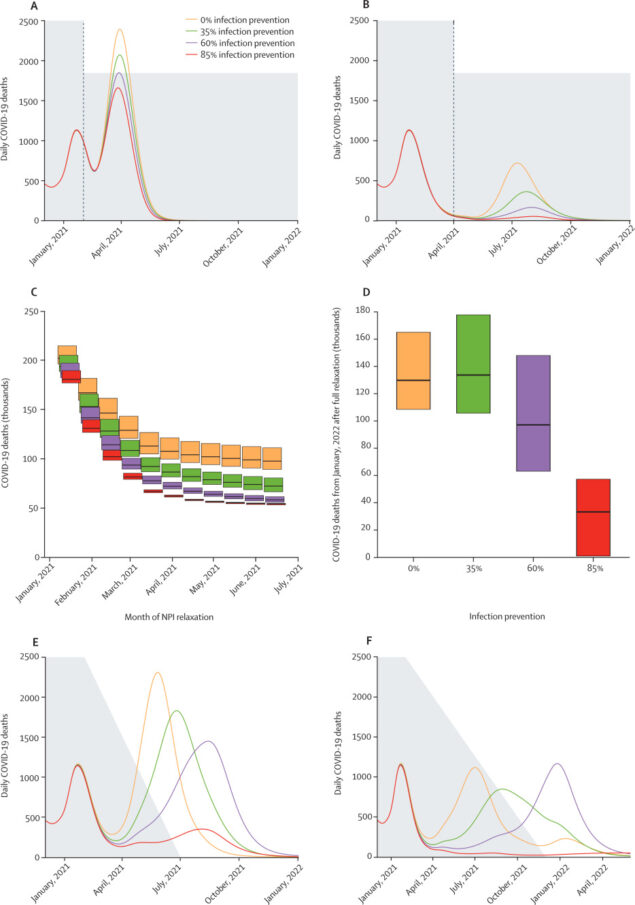
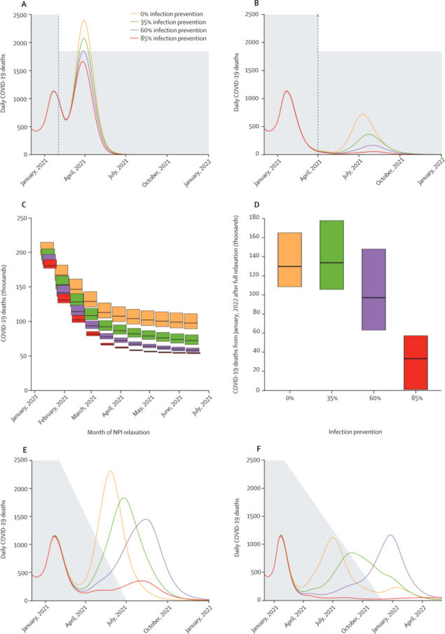
Vacunación e intervenciones no farmacéuticas para COVID-19: estudio de modelado

25 marzo 2021

Para todos los escenarios de vacunación investigados, estas predicciones destacan los riesgos asociados con la relajación temprana o rápida de las intervenciones no farmacéuticas. Aunque las vacunas novedosas contra el SARS-CoV-2 ofrecen una posible estrategia de salida para la pandemia, el éxito depende en gran medida de las propiedades precisas de la vacuna y de la aceptación de la población, las cuales deben ser monitoreadas cuidadosamente. Lancet Infect Dis. 18 de marzo de 2021

Seroprevalencia y durabilidad inmune humoral de los anticuerpos anti-SARS-CoV-2 en Wuhan, Chin

23 marzo 2021

El 6,92% de una muestra transversal de la población de Wuhan desarrolló anticuerpos contra el SARS-CoV-2, y el 39,8% de esta población seroconvirtió para mantener anticuerpos neutralizantes. Los datos de duración de las respuestas humorales indican que es necesaria la vacunación masiva para alcanzar la protección de rebaño y prevenir el resurgimiento de la epidemia.Lancet, 20 de marzo de 2021

Categorias

Etiquetas