Farmacología

Asociación de vacunación de ARNm con características clínicas y virológicas de COVID-19 entre trabajadores esenciales y de primera línea de EE. UU.

24 octubre 2022

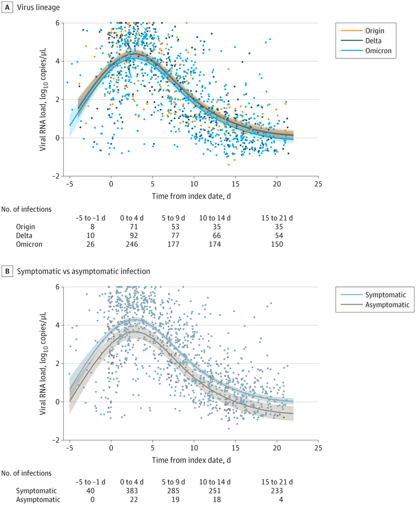
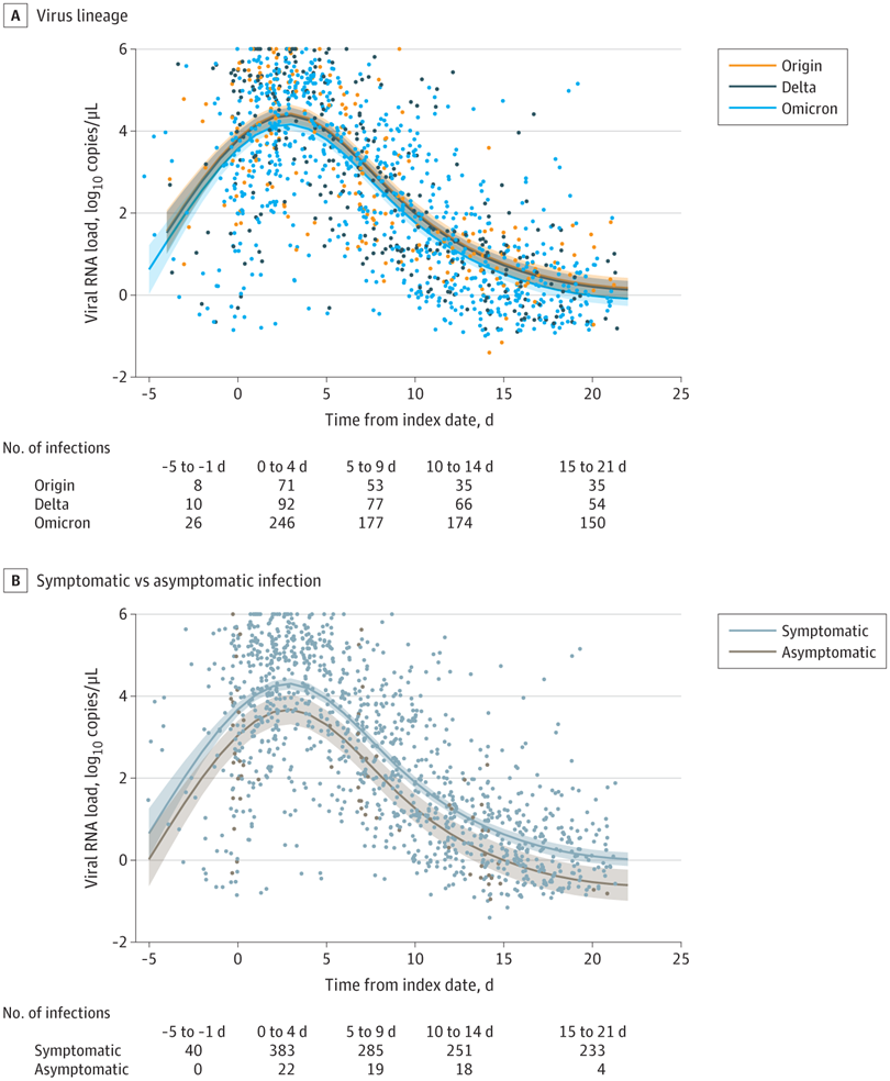
En una cohorte de trabajadores esenciales y de primera línea de EE. UU. con infecciones por SARS-CoV-2, la vacunación reciente con 2 o 3 dosis de vacuna de ARNm menos de 150 días antes de la infección con variantes Delta u Omicron, en comparación con no vacunarse, se asoció con atenuación síntomas, duración de la enfermedad, búsqueda de atención médica o carga viral para algunas comparaciones, aunque la precisión y la significación estadística de las estimaciones específicas variaron. JAMA. 18 de octubre de 2022

Evaluación de la vacuna mRNA-1273 en niños de 6 meses a 5 años de edad

24 octubre 2022

La respuesta inmunogénica en niños fue no inferior a la obtenida en adultos. Sin embargo, en un momento en que B.1.1.529 (omicron) era la variante viral predominante, la eficacia estimada de la vacuna contra la COVID-19 fue de solamente 36,8 % (IC95 %, 12,5 a 54,0) entre los niños de 2 a 5 años y del 50,6 % (IC95 %, 21,4 a 68,6) entre los de 6 a 23 meses. New England Journal of Medicine, 19 de octubre de 2022.

Efecto de la ivermectina vs. placebo en el tiempo de recuperación sostenida en pacientes ambulatorios con COVID-19 de leve a moderado. Ensayo ACTIV-6

24 octubre 2022

En este ensayo clínico aleatorizado, entre los pacientes ambulatorios con COVID-19 de leve a moderado, el tratamiento con ivermectina, en comparación con el placebo, no mejoró significativamente el tiempo de recuperación. Estos hallazgos no respaldan el uso de ivermectina en pacientes con COVID-19 de leve a moderado. JAMA.  21 de octubre de 2022.

El impacto de la pandemia de COVID-19 y las medidas de control asociadas en la salud mental de la población en general

19 octubre 2022

Aunque se encontró un aumento inicial en los síntomas promedio de depresión y ansiedad y una asociación entre un mayor número de casos informados y medidas más estrictas, los cambios en los síntomas de salud mental variaron sustancialmente entre los estudios después de los primeros 2 meses de la pandemia. Esto sugiere que diferentes poblaciones respondieron de manera diferente al estrés psicológico generado por la pandemia y sus medidas de contención. Ann Intern Med, 18 de octubre de 2022

Suero equino hiperinmune en pacientes  con neumonía por COVID-19 de manejo ambulatorio

13 octubre 2022

Un estudio observacional comparó a los pacientes con diagnóstico de neumonía por COVID-19 de manejo ambulatorio que recibieron suero equino hiperinmune con aquellos que no lo recibieron. Ambos grupos fueron tratados con corticosteroides y colchicina. No se halló diferencia significativa en los desenlaces de necesidad de internación y mortalidad por la enfermedad. Medicina (Buenos Aires), octubre de 2022.

Categorias

Etiquetas