Farmacología

Transmisión aérea de virus respiratorios

02 septiembre 2021

En esta revisión, se discute la evidencia actual con respecto a la transmisión de virus respiratorios por aerosoles: cómo se generan, transportan y depositan, así como los factores que afectan las contribuciones relativas de la deposición de gotas en aerosol versus la inhalación de aerosoles como modos de transmisión. La mejor comprensión de la transmisión por aerosoles brindada por los estudios del síndrome respiratorio agudo severo por SARS-CoV-2, requiere una reevaluación de las principales vías de transmisión de otros virus respiratorios, lo que permitirá controles mejor informados para reducir la transmisión aérea. Science,27 de agosto de 2021

Factores de riesgo y perfil de la enfermedad de la infección por SARS-CoV-2 posterior a la vacunación en usuarios de la aplicación COVID Symptom Study en el Reino Unido

02 septiembre 2021

Algunas personas aún se infectan con el SARS-CoV-2 después de la vacunación; estos datos sugieren que los adultos mayores frágiles y los que viven en áreas más desfavorecidas corren un mayor riesgo. Sin embargo,  en personas vacunadas con 1 o 2 dosis tuvieron probabilidades significativamente más bajas de enfermedad grave, hospitalización o COVID prolongado, que en personas no vacunadas . Lancet Infect Dis, 1 de septiembre de 2021

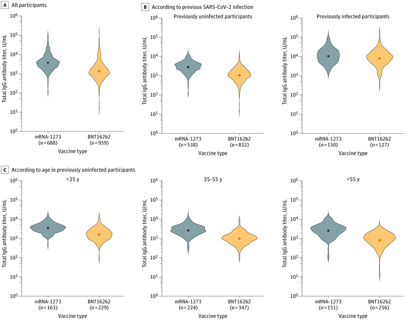
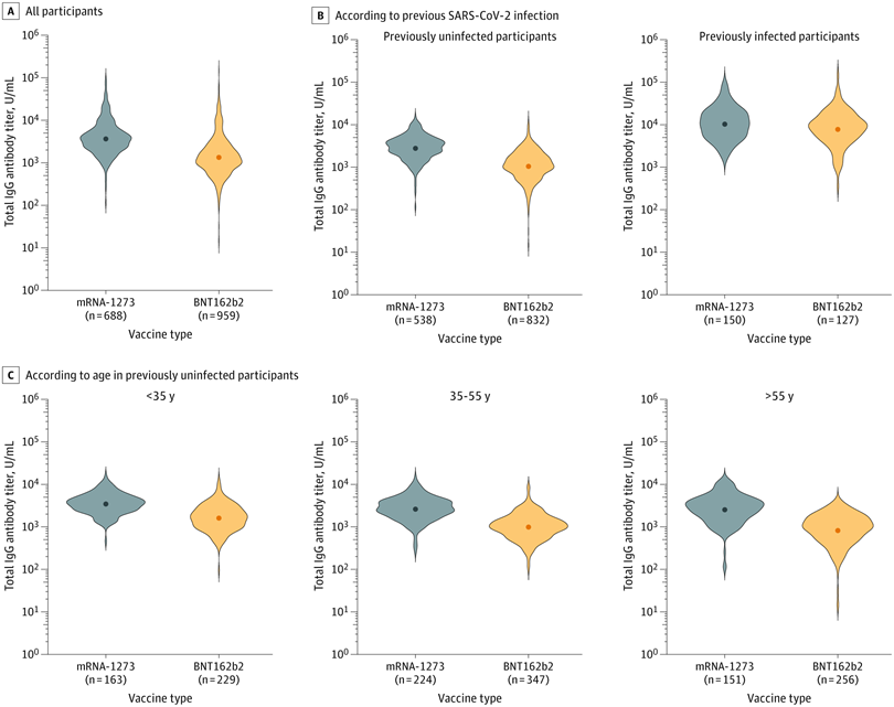
Comparación de la respuesta de anticuerpos del SARS-CoV-2 tras la vacunación con Pfizer-BioNTech y Moderna

01 septiembre 2021

Este estudio encontró una inmunogenicidad humoral significativamente mayor de la vacuna SARS-CoV-2 mRNA-1273 (Moderna) en comparación con la vacuna BNT162b2 (Pfizer-BioNTech), tanto en participantes infectados como no infectados, y en todas las categorías de edad. El mayor contenido de ARNm en ARNm-1273 en comparación con BNT162b2 y el intervalo más largo entre el cebado y el refuerzo para ARNm-1273(3) (4 semanas frente a 3 semanas para BNT162b2) podrían explicar esta diferencia.  JAMA, 30 de Agosto de 2021

Riesgo de contagio de la infección por SARS-CoV-2 a partir de un contacto estrecho

31 agosto 2021

La ventana de mayor riesgo se extiende desde 2 días antes hasta 3 días después de la aparición de los síntomas del paciente índice, alcanzando su punto máximo en el día 0. En comparación con la exposición a un paciente índice asintomático, el riesgo de COVID-19 entre los contactos fue mayor si el paciente tenía síntomas leves a moderados. JAMA Internal Medicine, 23 de agosto de 2021.

Buen pronóstico para la recuperación luego de un año del alta de una internación por COVID

31 agosto 2021

La mayoría de los sobrevivientes de COVID-19 tuvieron una buena recuperación física y funcional durante el seguimiento de 1 año y habían regresado a su trabajo y vida originales. Sin embargo el estado de salud en esta cohorte era todavía inferior al de la población de control. The Lancet, 28 de agosto de 2021.Resumen

Categorias

Etiquetas