Farmacología

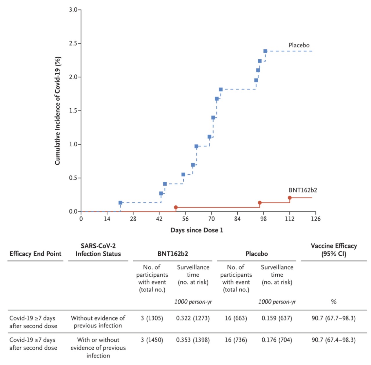
Evaluación de la vacuna Pfizer - BioNTech  (BNT162b2 Covid-19) en niños de 5 a 11 años

10 noviembre 2021

Este estudio encontró que un régimen de vacunación con Covid-19 que consiste en dos dosis de 10 μg de BNT162b2 administradas con 21 días de diferencia es seguro, inmunogénico y eficaz en niños de 5 a 11 años de edad. N Eng J Med, 9 de noviembre de 2021

Pandemia covid-19: Efectos en la esperanza de vida y mortalidad prematura en 2020 en 37 países

08 noviembre 2021

En 2020 se perdieron más de 28 millones de años de vida en 31 países, con una tasa más alta en hombres que en mujeres. El exceso de años de vida perdidos asociados con la pandemia de covid-19 en 2020 fue más de cinco veces mayor que los asociados con la epidemia de gripe (influenza) estacional en 2015.  BMJ, 3 de noviembre de 2021

Transmisión de COVID19 durante actividades relacionadas con la natación: una revisión sistemática rápida.

05 noviembre 2021

Hay importantes lagunas en la evidencia de la investigación de relevancia para las actividades relacionadas con la natación en el contexto de la pandemia de COVID-19. Sin embargo, la síntesis de las estrategias identificadas en los documentos de orientación puede informar las estrategias de gestión de la salud pública para las actividades relacionadas con la natación, particularmente en los planes de reapertura futuros. BMC Infect Dis. 29 de octubre de 2021

Seguridad, inmunogenicidad y eficacia de las vacunas COVID-19 en niños y adolescentes: revisión sistemática.

05 noviembre 2021

Dos vacunas COVID-19 tienen efectos protectores potenciales en niños y adolescentes, pero se necesita conciencia para monitorear los posibles efectos adversos después de la inyección. Aún se necesitan con urgencia estudios clínicos de la vacuna COVID-19 en niños y adolescentes con mayor tiempo de seguimiento, mayor tamaño de muestra y una mayor variedad de vacunas. Vaccines (Basel), 29 de septiembre de 2021

Duración del nivel de anticuerpos tras la vacunación con ARNm SARS-CoV-2 en individuos con o sin infección previa

03 noviembre 2021

Los trabajadores sanitarios con infección previa por SARS-CoV-2 seguida de 2 dosis de la vacuna de ARNm desarrollaron mediciones de anticuerpos de pico más altas que las personas con vacunación sola. Un intervalo más largo entre la infección y la primera dosis de la vacuna puede mejorar la respuesta de anticuerpos.JAMA, 01 de noviembre de 2021

Categorias

Etiquetas