Farmacología

Seguridad, tolerabilidad e inmunogenicidad de la vacuna inactivada contra el SARS-CoV-2 (CoronaVac) en niños y adolescentes

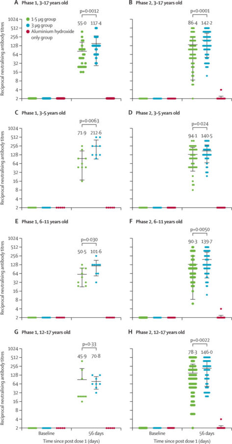
30 junio 2021

CoronaVac es bien tolerada y segura e induce respuestas humorales en niños y adolescentes de 3 a 17 años. Los títulos de anticuerpos neutralizantes inducidos por la dosis de 3,0 µg fueron más altos que los de la dosis de 1,5 µg. Los resultados apoyan el uso de una dosis de 3,0 μg con un calendario de dos inmunizaciones para estudios adicionales en niños y adolescentes. Lancet Infect Dis. 28 de junio de 2021

Ivermectina para el tratamiento de COVID-19: revisión sistemática y metanálisis de ensayos controlados aleatorios

29 junio 2021

En comparación con el el estándar de atención o el placebo, la ivermectina (IVM)  no redujo la mortalidad por todas las causas, la duración de la estadía o el aclaramiento viral en los ensayos controlados aleatorios en pacientes con COVID-19 con enfermedad mayoritariamente leve. La IVM no tuvo ningún efecto sobre los eventos adversos (EA) o EA graves. La IVM no es una opción viable para tratar a los pacientes con COVID-19. Clin Infect Dis, 28 de junio de 2021

Inmunogenicidad y reactogenicidad de la vacuna de refuerzo BNT162b2 (BioNTech-Pfizer) en participantes preparados con  ChAdOx1-S (AstraZeneca).Estudio CombiVacS

28 junio 2021

BNT162b2 administrada como segunda dosis en individuos vacunados con ChAdOx1-S induce una respuesta inmune robusta, con un perfil de reactogenicidad aceptable y manejable.Lancet, 25 de junio de2021

Efectos secundarios de la vacuna COVID-19: los aspectos positivos de sentirse mal

25 junio 2021

Los efectos secundarios de las vacunas contra el SARS-CoV-2 son a menudo preocupantes, pero pueden reflejar simplemente la producción transitoria de interferones de tipo I, una respuesta fisiológica normal al contacto con microorganismos invasores. Science Immunology  22 de junio de 2021

Actualización viva en curso de opciones terapéuticas COVID-19: resumen de la evidencia. Revisión rápida.

25 junio 2021

Según el portal de búsqueda de la Plataforma Internacional de Registro de Ensayos Clínicos (ICTRP, por su sigla en inglés) de la OMS, se están investigando cientos de posibles tratamientos o sus combinaciones en más de 9400 ensayos clínicos y estudios observacionales. Esta publicación, la 22ª edición de la base de datos de evidencia sobre posibles opciones terapéuticas para COVID-19, examina 122 opciones terapéuticas.. Organización Panamericana de la Salud  (OPS) , 22 de junio de 2021

Categorias

Etiquetas