Farmacología

Suero equino para el tratamiento de COVID moderado a severo

12 abril 2021

Se publica el estudio multicéntrico realizado en Argentina que mostró algunos resultados alentadores en algunos subgrupos de pacientes, aunque no logró demostrar eficacia en su criterio de valoración principal. E-ClinicalMedicine, 11 de abril de 2021.

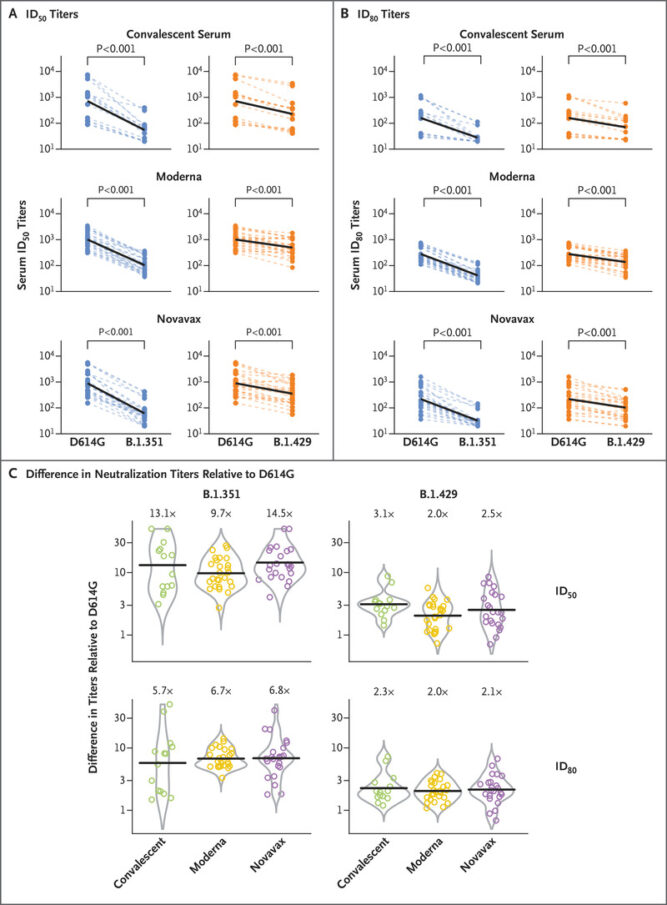
Neutralización de las variantes California (B.1.429) y Sudáfricana (B.1.351) del SARS-CoV-2

12 abril 2021

El valor modestamente más bajo en los títulos de neutralización contra la variante B.1.429 (californiana) visto en este estudio es similar al que vimos anteriormente cuando se probó la neutralización de la variante B.1.1.7 (británica) . Estos resultados, y la alta eficacia mostrada por estas vacunas, sugieren que es probable que los anticuerpos neutralizantes provocados por la vacuna sigan siendo eficaces contra la variante B.1.429. La magnitud de la resistencia observada con la variante B.1.351 (sudafricana) es de mayor preocupación con respecto a las vacunas actuales. N Engl J Med, 7 de abril de 2021

Anulación de las patentes de tecnología médica y de medicamentos para la recuperación de una pandemia: una medida legítima también para los países de ingresos altos

09 abril 2021

Sobre la legitimidad y utilidad de las licencias obligatorias y otras flexibilidades de los ADPIC en la lucha contra la pandemia COVID19.  BMJ Global Health, 7 de abril de 2021

Asociación del tipo de grupo sanguíneo y factores sociodemográficos con el riesgo de COVID-19

09 abril 2021

Este estudio concluye  que las asociaciones importantes de SARS-CoV-2 y COVID-19 con grupos ABO son poco probables y no son factores útiles asociados con la susceptibilidad o la gravedad de la enfermedad en un nivel individual o de población para entornos y ancestros similares. Se requieren estudios adicionales, estrechamente controlados por genética, geografía y cepa viral, antes de aceptar el grupo sanguíneo como un determinante de predisposición o gravedad de COVID-19. Asociación del tipo de grupo sanguíneo con el riesgo de COVID-19. JAMA Netw Open, 5 de abril de 2021

Síntomas prolongados luego de COVID leve

08 abril 2021

Una parte considerable de las personas de bajo riesgo con COVID-19 leve informaron una diversidad de síntomas a largo plazo, que en algunos casos afectaron la vida laboral, social u hogareña. Los síntomas moderados a graves más comunes fueron anosmia, fatiga, ageusia y disnea. JAMA, 7 de abril de 2021.

Categorias

Etiquetas