Farmacología

Espaciar dosis de vacunas no aumentaría las chances de que el virus evolucione mutando.

06 abril 2021

Las preocupaciones sobre la evolución del SARS-CoV-2 no deberían frenar los esfuerzos para expandir la vacunación. Se ha planteado la preocupación de que la expansión de la fracción de la población con inmunidad parcial al SARS-CoV-2 podría aumentar la selección de variantes de escape de la vacuna, lo que en última instancia socavaría la eficacia de la vacuna.Argumentamos que, aunque esto es posible, la evidencia preliminar sugiere que tales estrategias deberían disminuir la tasa de escape viral de la vacuna o la inmunidad inducida naturalmente. Siempre que la vacuna proporcione cierta protección contra las variantes de escape, la correspondiente reducción de la prevalencia y la incidencia debería reducir la tasa de generación de nuevas variantes y la velocidad de adaptación.  Nat Rev Immunol , 1 de abril de 2021

Aumento de la mortalidad en EEUU durante la pandemia

05 abril 2021

Se registró un aumento del 22,9% en la mortalidad por todas las causas desde el inicio de la pandemia, del cual el 72% se atribuyó directamente a COVID-19 y el resto a otras causas. El exceso de muertes fue porcentualmente mayor en las personas negras no hispanas. JAMA, 2 de abril de 2021.

Sindrome post-covid en personas internadas por COVID-19

05 abril 2021

Luego del alta hospitalaria, las personas internadas por COVID-19 tuvieron mayores tasas de disfunción en diferentes sistemas orgánicos en comparación con la población general. El aumento del riesgo no se limitó a los ancianos y no fue uniforme entre las etnias. BMJ, 31 de marzo de 2021.

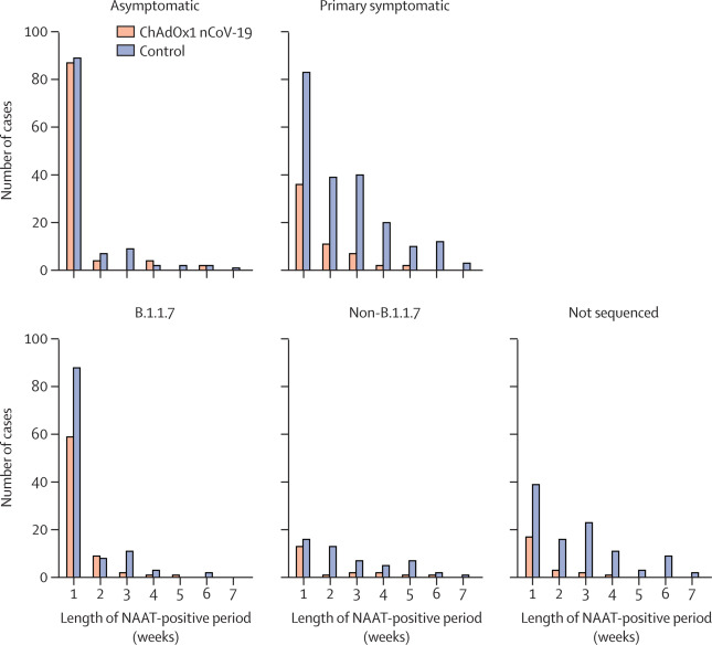
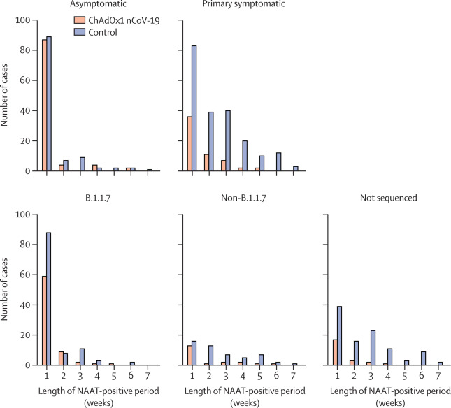
Eficacia de la vacuna AstraZeneca  contra la variante británica: análisis exploratorio de un ensayo controlado aleatorio

31 marzo 2021

la vacuna AstraZeneca (ChAdOx1 nCoV-19) mostró una actividad de neutralización reducida contra la variante B.1.1.7 en comparación con una variante no B.1.1.7 in vitro, pero la vacuna mostró eficacia contra la variante B.1.1.7 del SARS-CoV-2. Lancet, 30 de marzo de 2021

CDC: La efectividad en el mundo real de las vacunas de ARNm de COVID-19 es del 90% con dos dosis y del 80% con una dosis

31 marzo 2021

Estimaciones provisionales de la eficacia de la vacuna de las vacunas BNT162b2 y mRNA-1273 COVID-19 para prevenir la infección por SARS-CoV-2 entre el personal de atención médica, socorristas y otros trabajadores esenciales y de primera línea: ocho ubicaciones en EE. UU., diciembre de 2020 a marzo de 2021. MMWR Morb Mortal Wkly Rep, 29 de marzo de 2021

Categorias

Etiquetas