Farmacología

Efectividad de las vacunas Covid-19 contra la variante Delta (B.1.617.2)

17 agosto 2021

Solo se observaron diferencias modestas en la efectividad de la vacuna con la variante Delta en comparación con la variante Alfa después de recibir dos dosis de vacunas. Las diferencias absolutas en la eficacia de la vacuna fueron más marcadas después de recibir la primera dosis. Este hallazgo respaldaría los esfuerzos para maximizar la absorción de la vacuna con dos dosis entre las poblaciones vulnerables. N Engl J Med, 12 de agosto de 2021

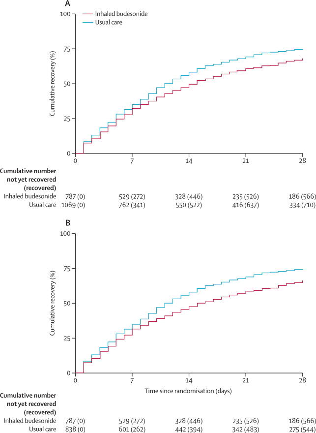
Budesonida inhalada para COVID-19 en personas con alto riesgo de complicaciones en la comunidad del Reino Unido (ensayo PRINCIPLE)

17 agosto 2021

La budesonida inhalada mejora el tiempo de recuperación, con la posibilidad de reducir también los ingresos hospitalarios o las muertes (aunque nuestros resultados no alcanzaron el umbral de superioridad), en personas con COVID-19 en la comunidad que tienen un mayor riesgo de complicaciones. La budesonida inhalada mejora el tiempo de recuperación, con la posibilidad de reducir también los ingresos hospitalarios o las muertes (aunque nuestros resultados no alcanzaron el umbral de superioridad), en personas con COVID-19 en la comunidad que tienen un mayor riesgo de complicaciones. Lancet, 10 de agosto de 2021

Antes de ofrecer terceras dosis de refuerzo nacionales, se deben poner las vacunas a disposición de otros países

13 agosto 2021

Las campañas de vacunación de refuerzo a gran escala ayudan a amplificar el grado de desigualdad en el acceso a las vacunas. Al limitar el escaso suministro de vacunas que podrían enviarse a países con tasas de vacunación mucho más bajas, estas campañas también aumentan la probabilidad de que se desarrollen variantes resistentes a las vacunas, en detrimento potencial del mundo entero.  JAMA. 12 de agosto de 2021

Eficacia de la vacuna mRNA-1273 (Moderna) en la adolescencia

12 agosto 2021

En este ensayo clínico doble ciego de la vacuna mRNA-1273 (Moderna) en adolescentes de 12 a 17 años de edad se encontró que  la respuesta inmune fue similar a la de los adultos jóvenes, la vacuna fue eficaz para prevenir la Covid-19 y el perfil de seguridad fue aceptable en este grupo de edad. New England Journal of Medicine, 11 de agosto de 2021.

Eficacia de una sola dosis de vacuna contra SARS-CoV-2 en mayores de 80 años

12 agosto 2021

Una dosis única de las vacunas  BNT162b2 (Pfizer)  o ChAdOx1 nCoV-19 (AstraZeneca) en personas mayores produce inmunidad humoral en la mayoría de los participantes y se ve notablemente reforzada en aquellos con infección previa. Las respuestas celulares fueron más débiles, pero mostraron mayor intensidad después de la vacuna de AstraZeneca en el seguimiento de 5-6 semanas. The Lancet Healthy Longevity, 11 de agosto de 2021.

Categorias

Etiquetas