Farmacología

Eficacia de las vacunas frente a la variante Delta del SARS-CoV-2

06 julio 2021

En estudios de la capacidad neutralizante de los anticuerpos inducidos por las vacunas, el 62% de los receptores de dos dosis de la vacuna AstraZeneca y el 95% de aquellos con dos dosis de la vacuna de Pfizer tenían anticuerpos neutralizantes para la variante Delta del SARS-CoV-2. The Lancet, 28 de junio de 2021.

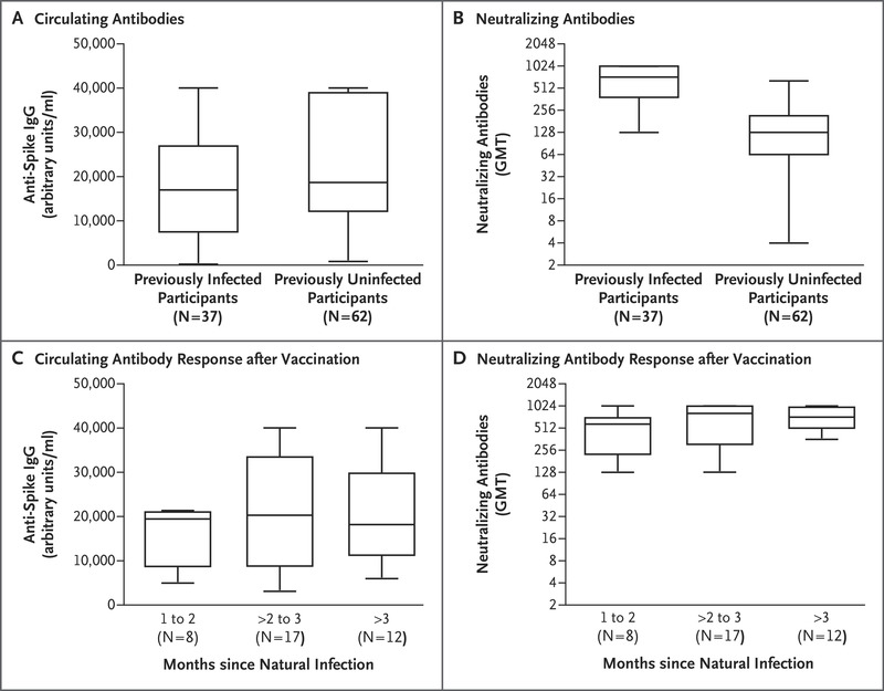
Respuesta de anticuerpos SARS-CoV-2 en personas con infección natural pasada

06 julio 2021

Los hallazgos proporcionan evidencia de que después de la administración de una sola dosis de vacuna, la respuesta humoral contra el SARS-CoV-2 en personas con antecedentes de infección por SARS-CoV-2 es mayor que la respuesta en participantes no infectados previamente que han recibido una segunda dosis. N Engl J Med, 1 de julio de 2021

Exceso de mortalidad por todas las causas en contexto de pandemia Covid-19

06 julio 2021

Durante 2020 se registró un exceso de mortalidad por todas las causas del 10.6%. Todas esas muertes pueden ser explicadas por la pandemia, lo que pone de relevancia la robustez y sensibilidad de los registros en nuestro país.  El documento publicado es un preprint y corresponde a la versión que ha sido preevaluada y aceptada por la Revista Argentina de Salud Pública para revisión por paresRev Argent Salud Publica, julio de 2021

Ivermectina para prevenir hospitalizaciones en pacientes con COVID-19 (IVERCOR-COVID19) un ensayo aleatorizado, doble ciego y controlado con placebo

05 julio 2021

La ivermectina no tuvo un efecto significativo en la prevención de la hospitalización de pacientes con COVID-19. Los pacientes que recibieron ivermectina requirieron soporte ventilatorio mecánico invasivo al principio de su tratamiento. No se observaron diferencias significativas en ninguno de los otros resultados secundarios. BMC Infectious Diseases, 2 de julio de 2021

Exceso de mortalidad por la pandemia de COVID-19 durante 2020 en la provincia de Buenos Aires, Argentina.

05 julio 2021

Las muertes por COVID-19 en la provincia de Buenos Aires (PBA) superan el exceso de mortalidad (EM) , lo que podría indicar la existencia de reemplazo de otras causas de defunción. Este resultado, que distingue a la PBA de los países de América Latina relevados y otros países europeos y de Oceanía, no permitiría estimar un subregistro en la contabilización de defunciones por COVID-19. Rev Argent Salud Publica, julio de 2021

Categorias

Etiquetas