Farmacología

Cobertura de la vacuna COVID-19 en trabajadores de la salud en Inglaterra y efectividad de la vacuna de ARNm BNT162b2 contra la infección (SIREN): un estudio de cohorte prospectivo, multicéntrico

26 abril 2021

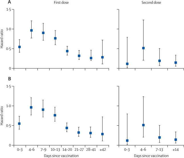
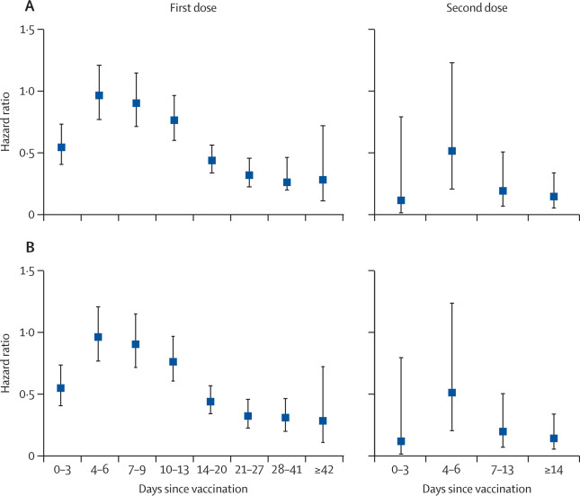
la vacuna BNT162b2 puede prevenir la infección sintomática y asintomática en adultos en edad laboral. Esta cohorte fue vacunada cuando la variante dominante en circulación era B1.1.7 y muestra efectividad contra esta variante. Lancet, 23 de abril de 2021

Hallazgos provisionales de la implementación de la vacunación masiva de COVID-19 de primera dosis y las admisiones hospitalarias de COVID-19 en Escocia: estudio de cohorte prospectivo nacional

26 abril 2021

La implementacion masiva de las primeras dosis de las vacunas de ARNm BNT162b2 y ChAdOx1 se asoció con reducciones sustanciales en el riesgo de ingreso hospitalario por COVID-19 a los 28 a 34 días  [BNT162b2: 91% (IC95: 85–94) ChAdOx1 : 88% (IC95:75–94)] en Escocia. Existe la posibilidad de que algunos de los efectos observados se hayan debido a un factor de confusión residual. Lancet, 23 de abril de 2021

Retrasar la segunda dosis de las vacunas COVID-19 puede ser una estrategia de salud pública eficaz

23 abril 2021

Para comparar el impacto epidemiológico de cada estrategia de vacunación, los investigadores construyeron un modelo matemático que simulaba tanto la transmisión de COVID-19 como varios programas de vacunación de segunda dosis diferidos. Los autores encontraron que retrasar la segunda dosis de 9 a 15 semanas después de la primera dosis evitaba más hospitalizaciones, infecciones y muertes en comparación con seguir los esquemas recomendados para las vacunas Moderna y Pfizer-BioNTech. PLoS Biol , 21 de abril de 2021

Consideraciones epidemiológicas y evolutivas de los regímenes de dosificación de la vacuna contra el SARS-CoV-2. ¿Una dosis o dos?

23 abril 2021

Los autores adoptan un enfoque de modelado para abordar las inevitables incertidumbres que enfrenta el lanzamiento de la vacuna. Los autores encontraron que aunque las estrategias de una dosis generalmente reducen las infecciones a corto plazo, a largo plazo, el resultado depende de la robustez inmunológica. Una estrategia de una dosis puede aumentar el potencial de evolución antigénica si las respuestas inmunitarias son subóptimas y el virus continúa replicándose en algunas personas vacunadas, lo que podría conducir a mutaciones de escape inmunológico. Es fundamental recopilar datos serológicos de las personas vacunadas y, para evitar resultados negativos, intensificar los esfuerzos de vacunación en todo el mundo. Science 23 de abril de 2021

Actualización de la revisión rápida continua sobre potenciales terapéuticas para COVID-19 : resumen de revisiones sistemáticas rápidas. 19a edición

23 abril 2021

Se están investigando más de 200 intervenciones terapéuticas o sus combinaciones en más de 1700 estudios clínicos. En esta revisión se incluyen 97 intervenciones para el manejo de pacientes con COVID-19. Organización Panamericana de la Salud, 20 de abril de 2021

Categorias

Etiquetas