Farmacología

Miocarditis después de la inmunización con vacunas de ARNm COVID-19 (Pfizer-BioNTech ó Moderna) en EE. UU.

30 junio 2021

Dos informes en la edición actual de JAMA Cardiology describen casos de miocarditis aguda que ocurrieron entre personas que recibieron las vacunas COVID-19 basadas en ARNm BNT162b2 (Pfizer-BioNTech) o ARNm-1273 (Moderna) basadas en ARN mensajero (ARNm). en los EE. UU. Durante las evaluaciones clínicas de estos pacientes, no se detectaron etiologías alternativas para la miocarditis.  AMA Cardiol. 29 de junio de 2021.

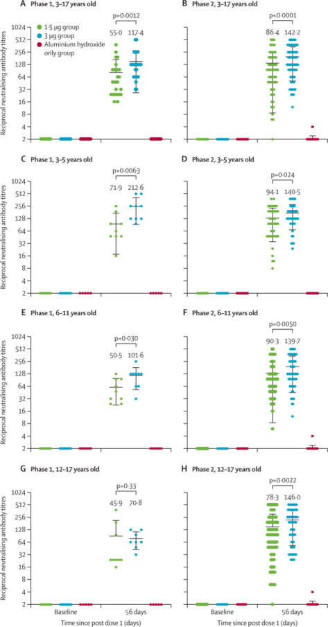
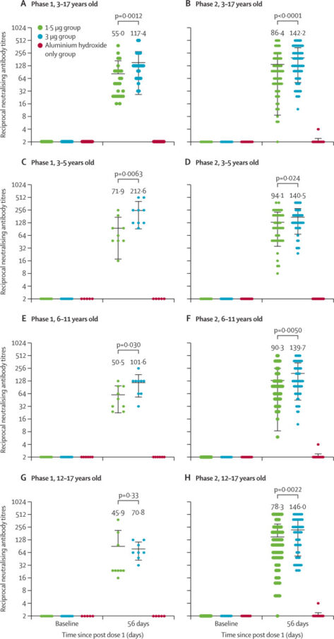
Seguridad, tolerabilidad e inmunogenicidad de la vacuna inactivada contra el SARS-CoV-2 (CoronaVac) en niños y adolescentes

30 junio 2021

CoronaVac es bien tolerada y segura e induce respuestas humorales en niños y adolescentes de 3 a 17 años. Los títulos de anticuerpos neutralizantes inducidos por la dosis de 3,0 µg fueron más altos que los de la dosis de 1,5 µg. Los resultados apoyan el uso de una dosis de 3,0 μg con un calendario de dos inmunizaciones para estudios adicionales en niños y adolescentes. Lancet Infect Dis. 28 de junio de 2021

Reducción de la esperanza de vida en EEUU en el primer año de la pandemia

29 junio 2021

Entre 2018 y 2020 la esperanza de vida en los EE. UU. se redujo en casi dos años, ampliando la brecha con otros países desarrollados a  4,7 años. La reducción afectó en manera desproporcionada a las minorías raciales y étnicas, disminuyendo en 3.9, 3.3 y 1.4 años en las poblaciones hispanas, negras no hispanas y blancas no hispanas, respectivamente. British Medical Journal, 24 de junio de 2021.

Ivermectina para el tratamiento de COVID-19: revisión sistemática y metanálisis de ensayos controlados aleatorios

29 junio 2021

En comparación con el el estándar de atención o el placebo, la ivermectina (IVM)  no redujo la mortalidad por todas las causas, la duración de la estadía o el aclaramiento viral en los ensayos controlados aleatorios en pacientes con COVID-19 con enfermedad mayoritariamente leve. La IVM no tuvo ningún efecto sobre los eventos adversos (EA) o EA graves. La IVM no es una opción viable para tratar a los pacientes con COVID-19. Clin Infect Dis, 28 de junio de 2021

Protección del 70 al 80% con la primera dosis de las vacunas AstraZeneca o Sputnik V

28 junio 2021

Resultados preliminares del estudio del Ministerio de Salud de la Nación en una muestra de más de 400 mil personas mayores de 60 años dan cuenta de la efectividad de las vacunas y avalan la estrategia argentina de priorizar la aplicación de la primera dosis para alcanzar a un mayor número de la población. Ministerio de Salud, 25 de junio de 2021.

Categorias

Etiquetas