Farmacología

Efectividad y seguridad de la vacuna Novavax contra SARS-CoV-2

16 diciembre 2021

En un ensayo clínico con cerca de 30.000 participantes asignados a la vacuna NVX-CoV2373 (Novavax) o a placebo se halló una efectividad del 90,4% para la infección por SARS-CoV-2 y una protección completa contra las formas moderadas y graves de la enfermedad. New England Journal of Medicine, 15 de diciembre de 2021.

Efecto de los certificados COVID-19 obligatorios en la aceptación de las vacunas en seis países

15 diciembre 2021

La certificación COVID-19 obligatoria podría aumentar la aceptación de la vacuna, pero la interpretación y la transferibilidad de los hallazgos deben considerarse en el contexto de los niveles preexistentes de aceptación y vacilación de la vacuna, los cambios de elegibilidad y la trayectoria de la pandemia. Lancet Public Health, 13 de diciembre de 2021

Pase sanitario ‘CUIDAR’ desde el 1 de enero de 2022

13 diciembre 2021

La acreditación de esquema completo de vacunación COVID-19 será requerida desde el 1 de enero a toda persona, a partir de los 13 años de edad, para poder realizar actividades consideradas de riesgo epidemiológico. La medida fue tomada a partir del consenso entre todas las jurisdicciones y el gobierno nacional, siendo una herramienta clave para sostener los logros, reducir los riesgos epidemiológicos y seguir brindando protección contra COVID-19 a cada vez más ciudadanas y ciudadanos. Además, las jurisdicciones podrán exigir la acreditación del esquema completo para actividades adicionales en función de la situación epidemiológica, el plan de vacunación local y los avances en las coberturas de vacunación contra COVID-19.Ministerio de Salud de la Nación, 12 de diciembre de 2021

Eficacia de la oxigenoterapia de alto flujo en pacientes internados con Covid-19

13 diciembre 2021

En un ensayo clínico realizado en Colombia se encontró que el uso de oxígeno de alto flujo a través de una cánula nasal en pacientes con Covid-19 grave disminuyó significativamente la necesidad de soporte de ventilación mecánica y el tiempo de recuperación clínica en comparación con la terapia de oxígeno convencional de bajo flujo. JAMA, 7 de diciembre de 2021.

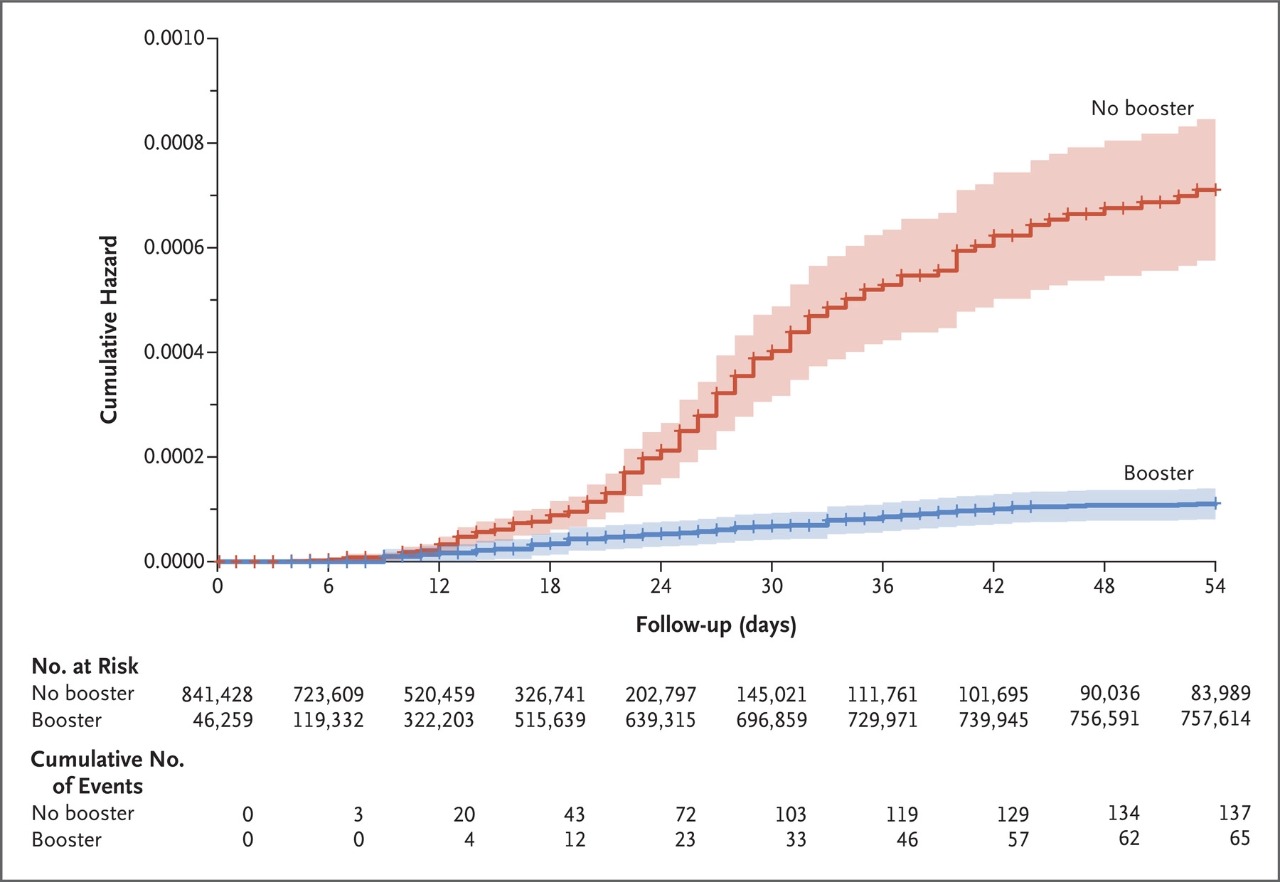
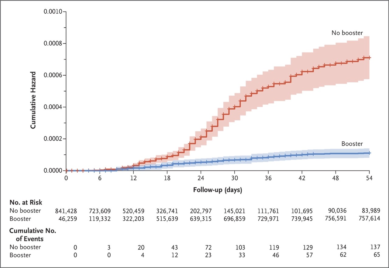
Refuerzo de la vacuna BNT162b2 (Pfizer-BioNTech ) y mortalidad debida a Covid-19

10 diciembre 2021

Los participantes que recibieron un refuerzo al menos 5 meses después de una segunda dosis de BNT162b2 (Pfizer-BioNTech) tuvieron un 90% menos de mortalidad debido a Covid-19 que los participantes que no recibieron un refuerzo.  N Engl J Med. 8 de diciembre de 2021

Categorias

Etiquetas