Farmacología

La carga mundial de cáncer atribuible a factores de riesgo, 2010-19: Estudio de la carga mundial de morbilidad 2019

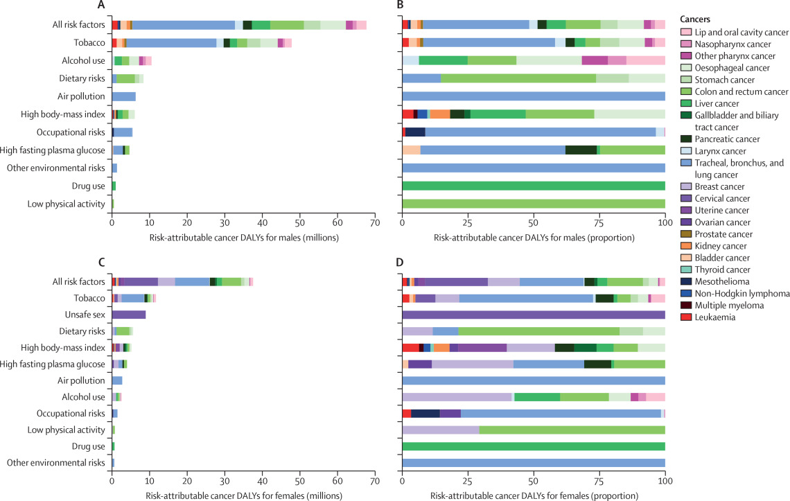
19 agosto 2022

Este análisis sistemático para el Estudio de la carga mundial de morbilidad 2019, encontró que los principales factores de riesgo que contribuyeron a la carga global de cáncer en 2019 fueron conductuales, mientras que los factores de riesgo metabólicos experimentaron los mayores aumentos entre 2010 y 2019. Reducir la exposición a estos factores de riesgo modificables disminuiría la mortalidad por cáncer y las tasas de años de vida ajustados por discapacidad en todo el mundo, y las políticas deben adaptarse adecuadamente a carga local de factores de riesgo de cáncer. Lancet, 20 de agosto de 2022

Propuesta de modalidad de catastro de infección tuberculosa en contactos escolares de colegios secundarios

16 agosto 2022

Este escrito aborda dichos temas y propone, con evidencia actualizada, una modalidad de estudio para contactos en instituciones de enseñanza secundaria. MEDICINA (Buenos Aires), 16 de agosto de 2022

Diferencias de edad y sexo en la carga mundial de infecciones de las vías respiratorias bajas y factores de riesgo, 1990-2019: resultados del Estudio de la carga mundial de morbilidad 2019

16 agosto 2022

Los patrones y el progreso en la reducción de la carga de infecciones de las vías respiratorias inferiores y los factores de riesgo clave para la mortalidad variaron entre grupos de edad y sexos. El progreso observado en niños menores de 5 años fue claramente el resultado de intervenciones específicas, como la vacunación y la reducción de la exposición a factores de riesgo. Intervenciones similares para otros grupos de edad podrían contribuir al logro de múltiples metas de los Objetivos de Desarrollo Sostenible, incluida la promoción del bienestar en todas las edades y la reducción de las desigualdades en salud. Las intervenciones, incluido el abordaje de factores de riesgo como la emaciación infantil, el tabaquismo, la contaminación ambiental por partículas y la contaminación del aire doméstico, evitarían muertes y reducirían las disparidades en la salud. Lancet Infect Dis. 11 de agosto de 2022

Argentina: Ley de Prevención y Control de la Resistencia Antimicrobiana

12 agosto 2022

Ley completa. La iniciativa sancionada por unanimidad por el Senado de la Nación promueve acciones para la Prevención y Control de la Resistencia Antimicrobiana y el buen uso de medicamentos antimicrobianos, principalmente antibióticos, además de reforzar la comunicación, investigación y vigilancia sobre esta temática. Prensa, Ministerio de Salud de la Nación 10 de agosto de 2022.

Efecto de la vacuna antineumocóccica en la selección de cepas no vacunales en España

04 agosto 2022

El aumento de serotipos no-PCV13 asociados a resistencia antibiótica es preocupante, especialmente, el incremento de la resistencia a penicilina asociada a los serotipos 11A y 24F. El futuro uso de las vacunas PCVs con un mayor espectro de cobertura (como la PCV20, que incluye el serotipo 11A) podría reducir el impacto de la resistencia antibiótica frente a los serotipos no-PCV13. The Lancet Microbe, 3 de agosto de 2022.

Categorias

Etiquetas