Farmacología

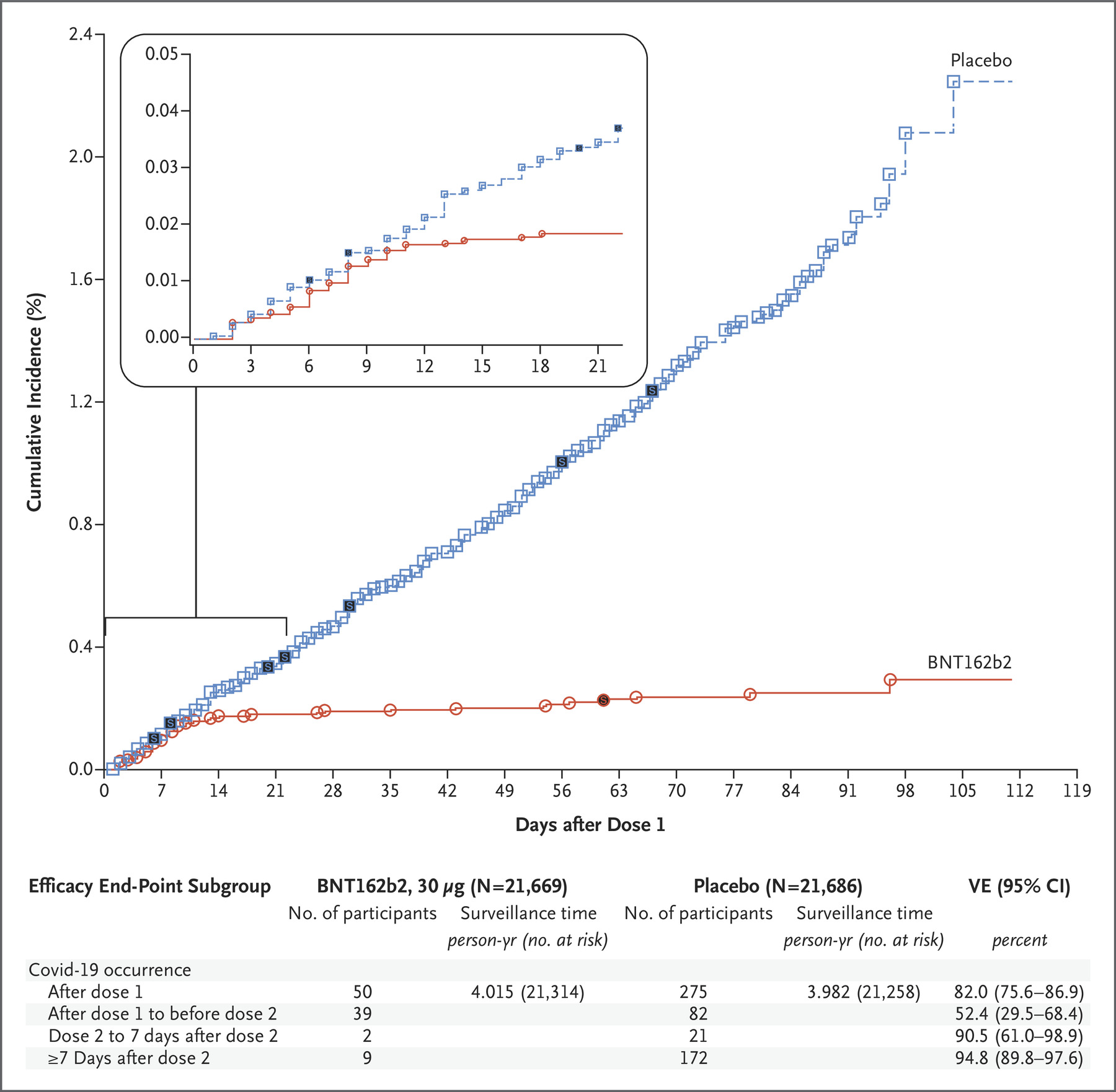
Evaluación de las vacunas contra covid-19: las preguntas para formular

16 diciembre 2020

Noviembre de 2020 ha sido testigo de una catarata de comunicados de prensa que anuncian vacunas efectivas y aparentemente relativamente seguras contra el covid-19. Sin embargo, como no se han publicado resultados detallados, es imposible evaluar la calidad y relevancia de estas afirmaciones. Cuando finalmente tengamos algo más que titulares para continuar, ¿qué preguntas será necesario hacer sobre estos ensayos clínicos? Las respuestas ayudarán a determinar la utilidad de estas vacunas y definir la estrategia de vacunación, teniendo en cuenta los intereses de los vacunados y de la sociedad en su conjunto. Prescrire Int., 20 de noviembre 2020

Síntomas COVID-19: evolución  y persistencia en pacientes ambulatorios. “COVID prolongado”

15 diciembre 2020

El estudio muestra la persistencia de los síntomas en un tercio de los pacientes ambulatorios 30 a 45 días después del diagnóstico. La fatiga, la disnea y la pérdida del gusto u olfato fueron los principales síntomas persistentes.  Así se  muestra que los pacientes con COVID-19 desarrollan una variedad de síntomas que evolucionan con el tiempo. Reconocer la persistencia de los síntomas podría legitimar las preocupaciones de los pacientes ante una enfermedad nueva y desconocida. La comunicación adecuada puede ofrecer tranquilidad, reducir la ansiedad y optimizar la recuperación. Ann Intern Med, 8 de diciembre de 2020

CDC: Resumen de la guía para las estrategias de salud pública para abordar los altos niveles de transmisión comunitaria del SARS-CoV-2 y muertes relacionadas, diciembre de 2020

11 diciembre 2020

En combinación, las estrategias propuestas pueden reducir la transmisión del SARS-CoV-2, las secuelas o la discapacidad a largo plazo y la muerte, y mitigar el impacto económico de la pandemia. La implementación constante de estas estrategias mejora la equidad en la salud, preserva la capacidad de atención médica, mantiene la función de negocios esenciales y respalda la disponibilidad de instrucción en persona para las escuelas de jardín de infantes a grado 12 y preescolar. Las personas, los hogares y las comunidades deben tomar estas medidas ahora para reducir la transmisión del SARS-CoV-2 de su nivel alto actual. Estas acciones proporcionarán un puente hacia un futuro con amplia disponibilidad y alta cobertura comunitaria de vacunas efectivas, cuando sea posible el regreso seguro a las actividades más cotidianas en una variedad de entornos. MMWR Morb Mortal Wkly Rep , 11 de diciembre de 2020 (4/12 online)

Intervenciones para apoyar la resiliencia y la salud mental de los profesionales sanitarios y de la asistencia social de primera línea durante y después de un brote de una enfermedad, una epidemia o una pandemia: una revisión sistemática de métodos mixtos

11 diciembre 2020

Falta evidencia cuantitativa y cualitativa proveniente de estudios realizados durante o después de epidemias y pandemias de enfermedades que puedan informar la selección de intervenciones que sean beneficiosas para la resiliencia y la salud mental del personal de primera línea. Cuando se seleccionan intervenciones destinadas a apoyar la salud mental de los trabajadores de primera línea, los factores organizativos, sociales, personales y psicológicos pueden ser importantes. Los estudios de investigación para determinar la eficacia de las intervenciones son de suma prioridad. La pandemia de covid‐19 ofrece oportunidades únicas para una evaluación sólida de las intervenciones. Cochrane Database Syst Rev,  Noviembre de 2020

Resultados clínicos de una vacuna COVID-19: implementación  más allá de la eficacia

11 diciembre 2020

Nuestros hallazgos demuestran la necesidad urgente de que los funcionarios de salud inviertan más recursos financieros y atención a los programas de producción y distribución de vacunas, redoblen los esfuerzos para promover la confianza pública en las vacunas COVID-19 y fomenten la adherencia continua a otros enfoques de mitigación, incluso después que una vacuna este disponible. Health Affairs, 19 de noviembre de 2020

Categorias

Etiquetas