Farmacología

Evolución de la mortalidad total en la Provincia de Buenos Aires durante la pandemia

09 diciembre 2020

Se constata un exceso de 10% de la mortalidad total sobre los valores promedio de 2010-2019. Las muertes por COVID-19 en la provincia superan en casi un 50% este exceso de mortalidad, indicando que el coronavirus ha reemplazado parcialmente otras causas de muerte, y que no hay un subregistro de muertes por COVID. Margen, diciembre de 2020.

Seguridad y eficacia de la vacuna ChAdOx1 nCoV-19 (Oxford) contra el SARS-CoV-2, análisis intermedio de 4 ECAs en Brasil, Sudáfrica y el Reino Unido

09 diciembre 2020

La vacuna ChAdOx1 nCoV-19 tiene un perfil de seguridad aceptable y se ha encontrado que es eficaz contra COVID-19 sintomático en este análisis intermedio de ensayos clínicos en curso. Lancet, 8 de diciembre de 2020

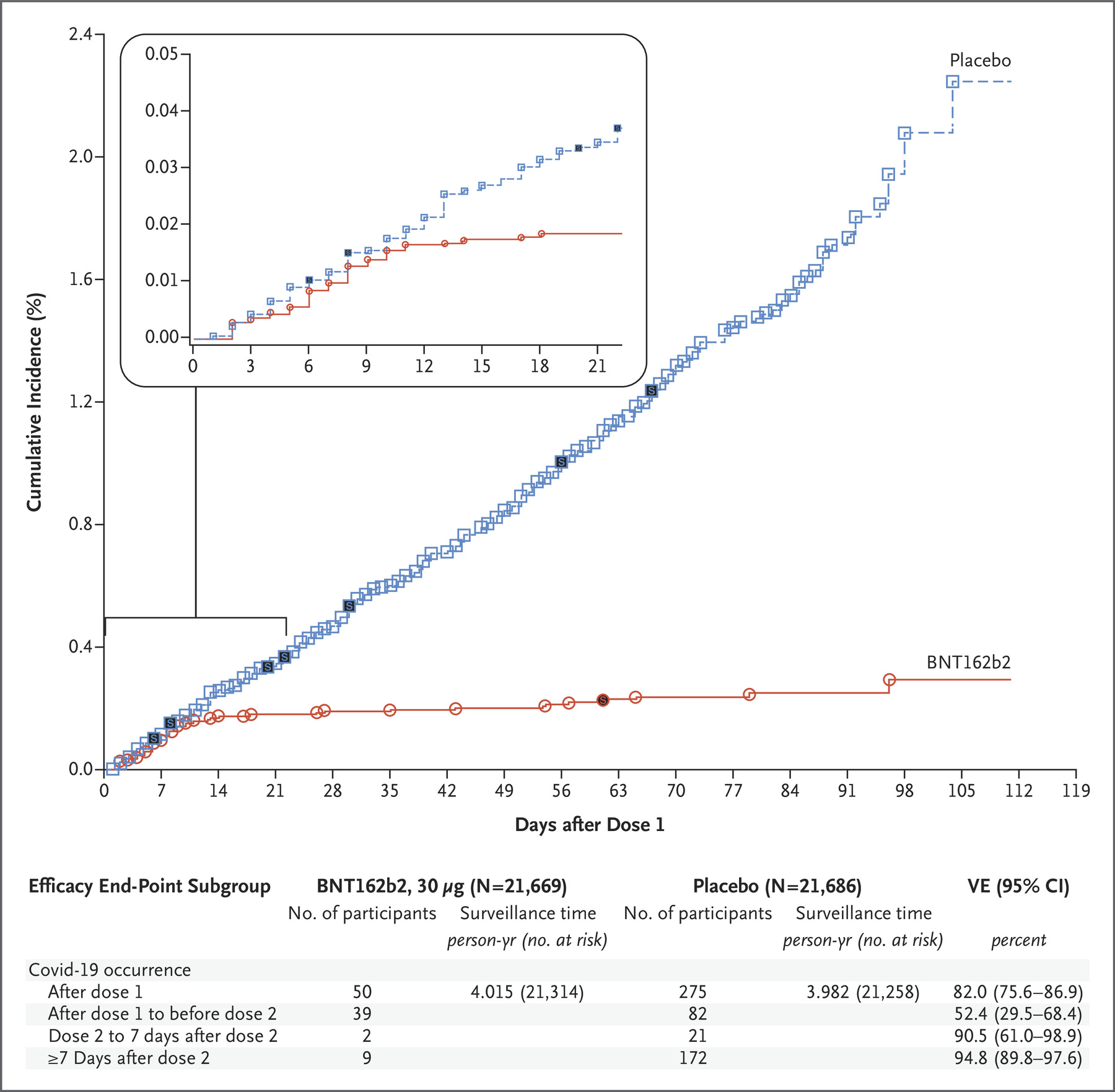
Durabilidad de la respuesta tras la aplicación de la vacuna mRNA-1273 (Moderna) contra el SARS-CoV-2

09 diciembre 2020

A la dosis de 100 µg, la vacuna mRNA-1273 indujo niveles elevados de anticuerpos fijadores y neutralizantes; estos títulos disminuyeron ligeramente con el tiempo, pero a los 90 días se mantenían elevados en todos los participantes. Se evaluaron las respuestas de capacidad fijadora a la proteína de la espícula, y se comprobó que la intensidad de la respuesta fue parecida en los tres grupos de edad. Al cabo de 90 días, también se detectaron anticuerpos neutralizantes en todos los participantes.N Engl J Med, 3 de diciembre de 2020

Las inaceptables presiones que complicarán el acceso equitativo y la confianza en las vacunas para COVID-19

09 diciembre 2020

Con la divulgación de los anuncios en prensa sobre la potencial ultra eficacia de dos de las vacunas de BioNTech/Pfizer y Moderna, iniciaron las presiones sobre los países para su aprobación y adquisición acelerada. A su vez las compañías farmacéuticas, de estas y otras vacunas, exigieron a todos los países incluir en los contratos y acuerdos de compra, cláusulas que les eximan por completo de la responsabilidad por aquellos eventuales daños y efectos adversos a largo plazo derivados del uso de las vacunasLos acuerdos para garantizar el acceso a vacunas deberían darse en el marco de los principios básicos de la bioética y apostar por condiciones de absoluta transparencia.Las cláusulas son una opción, no una obligación. DIME, boletín #28 , 7 de diciembre de 2020

Uso de mascarillas en el contexto de COVID-19. Orientación provisional

04 diciembre 2020

Este documento proporciona una guía actualizada sobre el uso de mascarillas en entornos comunitarios y de atención médica, y durante la atención domiciliaria para los casos de COVID-19. Está destinado a los responsables de la formulación de políticas, la salud pública y los profesionales de la prevención y el control de infecciones, los administradores de la atención sanitaria y los trabajadores sanitarios. OMS, 1 de diciembre de 2020

Categorias

Etiquetas