Farmacología

Efectos del distanciamiento social en la evolución local de la pandemia de SARS-CoV-2

27 octubre 2020

El momento de implementar y de relajar las medidas de distanciamiento social, así como el grado de adherencia de la población, tiene efectos importantes sobre el número de casos de COVID-19. Annals of Internal Medicine, 27 de octubre de 2020.

Eficacia de las medidas de salud pública en la pandemia de COVID-19

27 octubre 2020

Las medidas individuales, como el cierre de escuelas, de lugares de trabajo, la prohibición de eventos públicos, la prohibición de reuniones de más de diez personas, los requerimientos de para quedarse en casa y limitar los movimientos internos, se asocian a una transmisión reducida del SARS-CoV-2, pero el efecto de la introducción y el levantamiento de estas intervenciones se retrasa entre 1 y 3 semanas. The Lancet Infectious Diseases, 22 de octubre de 2020.

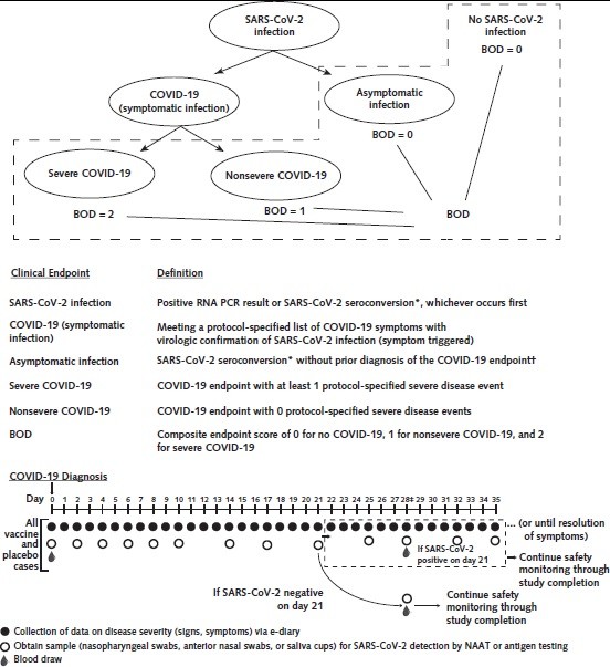
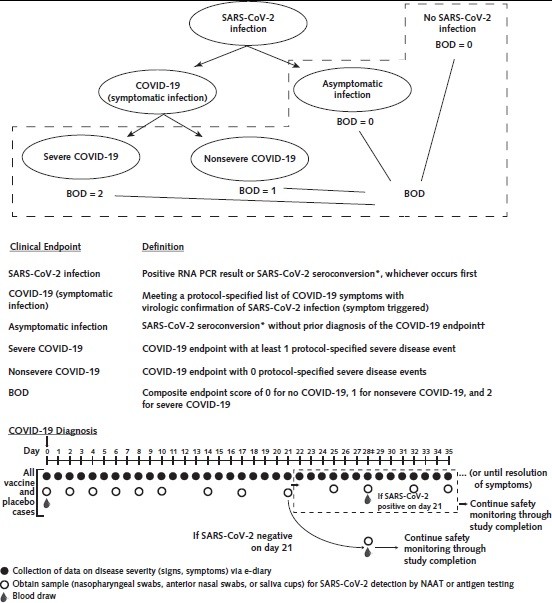
Criterios de desenlace clínicos para evaluar la eficacia en los ensayos de la vacuna COVID-19

26 octubre 2020

Para facilitar la evaluación armonizada y la comparación de la eficacia de estas vacunas, se propone un conjunto general de criterios de valoración clínicos, junto con consideraciones para orientar la selección de los criterios de valoración primarios sobre la base del razonamiento clínico y estadístico. S Ann Intern Med, 22 de octubre de 2020

Warfarina y otros anticoagulantes: seguimiento de pacientes durante la pandemia de COVID-19

26 octubre 2020

Se han publicado orientaciones sobre el seguimiento de los pacientes que reciben warfarina y otros anticoagulantes durante la pandemia de COVID-19. Drug  Safety Update,  MHRA, 22 octubre de 2020

Virología transmisión y patogenia del SARS-CoV-2. ¿Qué sabemos hasta ahora sobre la fisiopatología del virus?

26 octubre 2020

Las pruebas de reacción en cadena de la polimerasa con transcripción inversa (RT-PCR) pueden detectar el ARN viral del SARS-CoV-2 en el tracto respiratorio superior durante una media de 17 días; sin embargo, la detección de ARN viral no necesariamente equivale a infecciosidad, y el cultivo viral de muestras de las vías respiratorias superiores positivas por PCR rara vez ha sido positivo después de nueve días de la enfermedad.Es probable que la transmisión sintomática y presintomática (1-2 días antes del inicio de los síntomas) desempeñe un papel más importante en la propagación del SARS-CoV-2 que la transmisión asintomática En esta revisión, proporcionamos una actualización amplia sobre la comprensión emergente de la fisiopatología del SARS-CoV-2, incluida la virología, la dinámica de transmisión y la respuesta inmune al virus. Cualquiera de los mecanismos y suposiciones discutidos en el artículo y en nuestra comprensión de covid-19 pueden revisarse a medida que surjan más pruebas. BMJ 23 de octubre de 2020

Categorias

Etiquetas